検索アイコン

サイト内検索

商品内検索

第543号 2003(H15).07発行

PDF版はこちら 第543号 2003(H15).07発行

 

 

歴史の中の肥料
リン鉱石物語

京都大学名誉教授
高橋 英一

リンの発見

 元素発見の歴史の中で,リンは発見者,発見年代の記録のある最初の元素といわれている。それは錬金術に凝ったブラント(Brandt)という男で,1669年のことであった1)

 彼はハンブルグのかなり富裕な商人であったが,商売に失敗し破産してしまった。そこで彼は一攫千金を目論んで,錬金術をやろうと決心した。そして鉱物や植物や動物のいろいろな部分をすりつぶし混ぜ合わせ,加熱したり酸で処理したりしたが,その中の一つに人尿があった。

 ある日,彼は尿を蒸発させてシロップ状の液体にし,それを蒸留して赤色の液体を得た。これを再度蒸留したところ,レトルトの底に黒い沈殿物が生じ,この沈殿を長時間焼いたところ白く輝く物質に変わった。この物質(黄リン*)は熱を伴わないで発光するという,不思議な性質をもっていた。彼は遂に金属を金に変える「賢者の石」を手に入れたと大喜びをした。そしてこの発見を秘密にしたまま金に変える実験を続けたが,当然の事ながらそれは失敗に終わった。そこで彼はこの物質を,製法を明かさずに高く売ろうとした。

 当時ザクセン王の宮廷の錬金術師であったクンケル(Kunckel)は,クラフトという助手をハンブルグに遣って,ブラントから製造の秘密を得ようとした。クラフトはその秘密を200ターレルで買い取ったが,自分だけのものにしようと考え,クンケルのもとへは帰らなかった。そこでクンケルは独力で研究を行い,1676年に新しい元素を分離するのに成功した。

 彼も尿を蒸発乾涸し,得られた黒い沈殿を砂と炭とともに熱し,揮発性および油性の物質を取り除くと,リンがレトルトの器壁に白い凝結物となって析出した。その反応過程は次のようである。

 1680年,イギリスのボイル(Boyle)もほぼ同じ方法でリンを得た三番目の化学者になった。ボイルの助手ハンケウィツはリンの大量製造を計画し,大きな利益を得たといわれる。

 当時彼らはいずれも製造法を公表しなかったが,17世紀の末には元素としてのリンの存在は次第に一般に知られるようになってきた。そして1737年フランスのアカデミーによって初めてリンの製法が公表された。さらに1770年頃スウェーデンのシェーレ(Scheele)は,骨灰や当時骨土(bone earth)と呼ばれていたリン灰石からリンを単離する方法を発表し,またこの元素は骨の重要成分であることを明らかにした。

 リンは最初の発見者ブラントによって「冷たい火」と名付けられたが,後に「光をもたたらすもの」を意味するphosphorus(phos<photo 光,phoros<pherein 運ぶ,もたらすの意のギリシャ語)とよばれるようになった。

 リンは自然界では単体としては存在せず,常に酸素と結びついてリン酸の形で,鉱物界や生物界に広く存在している。

リン酸の給源としての骨

 われわれは現在1日当たり,食事を通して1200~2700mgのリンを摂取している。ちなみに窒素は8000~22000mg,カリウムは1400~3700mgで,リンの摂取量はカリウムに近い2)。このリンは植物-動物生態系(狩猟採集時代)あるいは作物-家畜生態系(農耕牧畜時代)を介して土壌からもたらされたものである。

 農耕時代に入って人間は土地の上に耕地という区画を設け,その中で積極的な食糧の獲得-別な表現をとれば栄養元素の獲得に努めてきた。しかし人口が増え,また自給自足農業が商業的農業に移行するにつれて,耕地外ヘ持ち出される栄養元素の量が多くなり,その補給すなわち「施肥」の必要性が高まっていった。

 肥料三要素の作物体含量はおおよそ窒素30,000ppm,リン2,300ppm,カリウム14,000ppmで,リンの必要量は最も少ない。一方供給側の土壌の含量はそれぞれ1,000ppm,1,050ppm,14,000ppmで両者の差は窒素が最も大きい。しかし土壌窒素の可給度や循環速度は大きく,大気中の窒素も生物の作用によって土壌中にもたらされる。またカリウムは存在量も可給度も比較的大きい。これに比べて土壌リンの可給度は小さく(特に火山灰土壌や酸性土壌において),循環も殆どしない。したがって長期にわたってリンが補給されないと,生産力は著しく低下する。

 自給肥料の中でリン含量の高いものとしては,鳥糞や動物の骨があり,それらの利用は特定の地域では古くから行われていた。12世紀頃にペルーのインカ族は鳥糞石(guano)を採掘利用していたし,中国の農民は2000年も前から,動物の骨を焼いて肥料として使っていたという。

 この中で注目されるのは骨の利用である。脊椎動物の骨(硬骨)の成分はフッ素を含んだリン酸カルシウム(アパタイト)である。脊椎動物はリンを集積する生物(accumulator)であるが,人間も家畜も脊椎動物である。耕地土壌のリンはそこで生産された食糧,飼料を介して人間と家畜の骨の中に固定される。そして下肥や厩肥として利用される排泄物と違って,骨の中のリンが耕地に戻されることは通常まれである。

 しかし骨がすぐれたリンの給源であることは,偶然の機会に知られる場合があった。1世紀半ばのウエールズとローマの戦いで,戦場に残された沢山の戦死者の遺骨が長年の間に朽ち果てたが,それを畑に施したところ驚異的なコムギの収穫をもたらしたという話がある3)。もっとも人骨は通常は埋葬されるので,このようなことは特殊な事例である。これにくらべると,屠殺したり病死した家畜の骨を利用することは,割合あったと思われる。わが国でも江戸中期には,牛馬の骨や鯨,鮪,鰹など大型海棲動物の骨を肥料として商う者がいた(前者は「山建」,後者は「魚建」と呼ばれた)。

 肥料としての骨の利用は17世紀後半からイギリスで次第に広まったといわれるが,それには幾つかのきっかけがあった。たとえば次のようなエピソードがある4)

 イングランド中部にシェフィールドという町がある。ここは遠くノルマンのイギリス征服(Norman Conquest 1066年)の頃から,鉄器の製造で知られていた。それは原料となる鉄鉱石と燃料の薪炭を供給してくれる森林を近くにもっていたからである。その後シェフィールドでは刃物製造業が栄えるようになり,産業革命が起こった18世紀にはイギリスの刃物市場を独占するにいたった。

 刃物には柄の部分があるが,シェフィールドではそれに骨や角や象牙などが大量に使われた。そして刃物の製造が盛んになるにつれ,それらの削り屑が工場の周囲に山積するようになった。

 どこにでもいる注意深い観察者の一人が,骨屑の山のまわりでは他よりも雑草がよく茂っていることに気づいた。彼は雑草の盛んな生長は骨と何か関係があるのではないかと考え,骨屑を少しもって帰って自分の畑にまいた。すると果たせるかな作物がよくできた。このニュースはすぐ近隣に伝わり,シェフィールド周辺の痩せた恐らくはリン酸分に乏しい土地を耕していた農民達は,この骨屑を争って持ってゆくようになった。

 刃物工場主は,はじめのうちは骨屑の山がきれいに片づくのを喜んでいたが,やがてこれが肥料として値打ちのあることを悟ると,骨屑一荷ごとに代金をとるようになった。骨屑の需要は高まり,それとともに値も上がっていった。これはイギリスで肥料が商品化した始まりと思われるが,日本ではこれよりも1世紀早い江戸時代初期に,下肥などの商品化が起こっている。

 一方この頃ヨークシャ一地方でも,骨を砕く機械を発明して骨粉を大々的に施用し,収益をあげた地主の話はいくつかあり,骨粉肥料の普及のさまがうかがえる。そしてその骨粉肥料は,19世紀初頭の過リン酸石灰,すなわち最初の化学肥料へと進化をとげるのである。

 骨を肥料に使うことになったことの意味は大きい。リンは窒素とともに作物の生育を大きく支配する養分であるが,窒素がマメ科植物などで知られているように大気から土壌にもたらされるのとは異なり,リンの場合このような天然供給は殆どない。したがって人為的に供給してやる必要性は窒素よりも高い。そしてそれにもっとも適した身近にある材料が骨屑であった。

 家畜やヒトなどの脊椎動物は,食べ物の中からリンを集めてカルシウムと結合させて骨をつくる。骨にはリン酸が40パーセント近くも含まれている。土の中のリンは植物を経由して動物の骨の中に集められるので,この骨を人間の手で集めて砕いて土に施すということはすばらしい発見であった。

 穀類生産と牧畜を組合わせた農業を営むイギリスでは,穀類の生産は家畜を介して供給される厩肥に依存するところが大きかった。しかし産業革命が契機となって,家畜の糞尿だけでなくその骨が「金肥」として用いられるようになった。ただこの場合も,初めは主に飼料作物の増産に用いられた。それによってより多くの家畜の飼養が,したがってより多くの厩肥の供給が可能になったのである。

過リン酸石灰の発明とリン鉱石の登場

 骨粉はそのまま土の表面にまくよりも,堆肥にまぜて土の中ヘすきこむ方がよく効くことが知られていた。これは骨粉の分解が促進され,リン酸が溶け出しやすくなるからである。しかし骨粉中のリン酸はリン酸三石灰の形で存在し水に不溶であるので,作物によりよく利用されるためにはなんらかの方法で可溶化される必要がある。

 ロンドンから北ヘ40キロメートルほど行ったローザムステッド(Rothamsted)というところの地主であったローズ(J. B. Lawes)は,自分の荘園で1836年から1838年にかけて骨粉をカブに施用したが,予期した効果が得られなかった。ローザムステッドの土壌は炭酸石灰に富んでおり,リン酸が溶けにくかったためである。

 翌1839年,彼は骨粉を硫酸で処理し,あらかじめリン酸三石灰を水溶性のリン酸一石灰に変えたものを用いて,小規模な栽培試験を行ったところ,今度は良好な結果が得られた。そこでこの効果を確認するために,1840年から荘園内で圃場試験を始めた。そして1842年5月にはこの新肥料「過リン酸石灰(Superphosphate of lime)」の特許を取得し,テームズ河畔のデトフォード(Deptford)に工場を建て,製造を開始した。

 骨粉を硫酸で処理してリンの有効化をはかることを思いついた人は他にもいた。農芸化学の祖といわれるドイツのリービヒ(Baron Liebig)は,1840年に「化学の農業および生理学への応用」と題する有名な論文を発表したが,その中で骨粉に希硫酸を加えてかきまぜ,熟成したものを水でうすめて作物に施せば大きな効果があると述べている。またスコットランドのマーレイ(Sir James Murray)は「vitriolized bone(硫酸で処理した骨の意)」という名前で1808年から使用しており,その特許をローズと同じ日に認められている(ローズはマーレイの特許を1846年に買い取った)。しかし実際に工場生産まで行ったのはローズのみであり,リービヒもマーレイも,過リン酸石灰という人造肥料の創始者の名をローズに譲ることになった。

 骨粉の何倍もの効果を持つ新肥料に対する需要を満たすために,ヨーロッパ中の屠殺場から大量の骨が集められたが,直ぐにこれでは十分でないことが分かった。リービヒはイギリスが死者の骨,とくに戦場にたおれた兵士の骨を原料に使っていると非難している**。

 しかし1847年イギリスのサフオーク州で発見された糞石が,1850年代には太平洋の環礁に産するリン酸質グアノが骨の代替原料に用いられるようになった。さらに1867年にはアメリカのサウスカロライナで,1888年にはフロリダで海成の結塊リン鉱石が,また1885年にロシアのコラ半島で火成源のリン灰石があいついで発見採掘されるようになり,完全に骨に取って代わった。

 糞石は大型の爬虫類,哺乳類などの動物の排泄物が風雨にさらされ,窒素その他の有機成分が分解流失し,リン酸分が石灰と反応しカルシウム塩として固結,石化したものである。1829年に発見され,ギリシャ語の糞を意味するkoprosに因んでcoproliteと命名されたが,後にリービヒに骨と同様肥料原料になると教えられ,1847年から採掘利用が始まった。そして1909年に中止されるまでに約200万トンが採掘されたといわれる。

 リン酸質グアノも珊瑚礁に堆積した海鳥糞が長期にわたる風化を受け,残留したリン酸分が石灰と結合濃縮されたものである。これもリン鉱石の採掘利用が盛んになるにつれマイナーになった。

 リン灰石(phosphorite)は地球内部のマグマに含まれたリン酸が,高温高圧下でアパタイト(含フッ素リン酸三石灰)結晶になったもので,海成リン鉱石とともにリン酸源の主流になった。

 海成リン鉱石(marine phosphorite)あるいは結塊リン鉱石(nodule phosphate)は,海水中のリンが海底に沈澱堆積し,その後の地殻変動で隆起,陸地化することによって地表にもたらされたものである。

 陸地に存在するリンは,風化と浸食によって絶えず海に運ばれる(溶解度が小さいので溶脱より土壌浸食で失われることが多い)。海水に溶けているリンはプランクトンをはじめとする海棲生物に取り込まれ,濃縮される。そしてそれらが死ぬと遺体は海底に沈降堆積し,分解によってリンが放出される。そのため深部の海水のリン濃度は高くなり,過飽和状態になるとアパタイトとして沈澱する。また大型脊椎動物の場合は,アパタイト骨格のまま化石化する。海成リン鉱石にはしばしばこれらの歯や骨格の一部分が認められる。

 リンは土壌中に平均650ppm含まれている(クラーク数は800ppmで13位)。これはイオウの700ppmに次ぐ値であるが,溶解度は非常に小さく,淡水および海水中の濃度は0.005ppmおよび0.07ppmである(イオウの場合はそれぞれ3.7ppmおよび885ppm)。これは肥料三要素の中で窒素,カリウムに比べて施肥の必要性が高いことを示している。

 そのためにはリンの濃縮と可溶化の操作が必要であるが,過燐酸石灰はリンが生物的に濃縮された骨やリン酸質グアノや海成リン鉱石(リン灰石は地質的なリン濃集)を酸で処理してリンを水溶性にしたものである。

 このプロセスを地球表層におけるリンの動きの観点からまとめると,次のようになる。陸地に存在するリンは気象と重力の作用で海ヘ運ばれ,プランクトンに取り込まれ,一部は魚,海鳥を経て珊瑚礁の上に排泄される。残りは生物遺体の分解にともなって放出され,一定の条件下でリン酸カルシウムとなって沈澱し,海底に堆積する。そして地殻変動によって隆起が起こると,リン鉱石床となって地表に現れる。19世紀以降人間は,これらを積極的に農耕地に投入し始め,ここに一つの循環が形成されるようになった。このリンの循環には,生物科学的,地球科学的,社会科学的の三つの側面がみられるのである。

肥料鉱物資源の登場と肥料革命

 18世紀後半にイギリスで始まった産業革命の特質は,社会が土地によって生産される有機物を原料とする経済から,鉱物を原料とする経済ヘ移行したことにあるといわれるが,産業革命はまたエネルギー革命の側面ももっていた。

 それ以前の前工業化社会では,生産活動のためのエネルギーの源は農地によって捕らえられた太陽エネルギーの流れ(フロー)であった。したがってあらゆる生産活動の原点に農業があり,土地があった。農業革命はこのエネルギーを捕らえる効率を高めて経済成長をはかるものであった。

 ところが産業革命を契機にして,鉱物を主体にしたエネルギー経済が成長の主軸になった。それはまず地下に埋もれていた石炭の中に閉じ込められていた膨大な太陽エネルギーの蓄え(ストック)に手をつけることによって,太陽エネルギーのフローの利用効率が低いことにつきまとう制約から解放された。そしてこれに似たことが,産業革命の始まりから半世紀近くたった19世紀はじめのヨーロッパ農業に起こった。

 すなわちこれまで述べてきた,グアノ,チリ硝石,カリ鉱石,リン鉱石などの肥料鉱物資源の相次いでの登場である。これらは土地が生産する有機物に由来する肥料(厩肥など)の制約からの解放をもたらしたのである。肥料革命も産業革命も鉱物資源の利用という意味において軌をーにしている。

 こうして19世紀には肥料三要素の窒素,リン,カリウムは,新たに地下の鉱物資源からも供給の道が開かれた。これがどの程度食糧生産性の向上に役立ったか改めて考える必要があるだろう。このブレークスルーも,窒素については早くも19世紀の末には資源枯渇が危惧されるようになった。そしてそれは空中窒素の工業的固定という新たなブレークスルーを生み,20世紀には大気窒素が工業技術によって大量に耕地にもたらされるようになった。

 19世紀のはじめ,リービヒらによって植物栄養の本質は無機栄養であるということ,植物は無機物を有機物に転換する生物であって,それによって栄養となる元素は生物の世界を巡り,生物の世界の継続が可能になっているのだという考えがもたらされた。19世紀における肥料鉱物資源の登場は「食糧獲得の人間の歴史」の中で,大きな意味をもっているように私には思われる。

* 黄リンの同素体の赤リン(黄リンを空気を遮断して250℃に熱すると赤リンに変化する)は発光しない。また黄リンは猛毒であるが,赤リンは無毒である。黄リンが暗所で発する光は古くからリン光と呼ばれてきたが,これは空気に触れて徐々に酸化する現象すなわち化学変化に伴う発光で,現在の「リン光」の定義(エネルギーを吸収した物質分子中の電子が励起され,再びもとの安定状態に戻るときに発する冷光)にはあてはまらない。

** 「イギリスは他の国々から肥沃の条件をかすめとりつつある。すでに骨を渇望して,イギリスはライプチヒ,ワーテルロー,クリミアの戦場を掘り返した。すでにシチリアのカタコンペ(地下墓地)からイギリスは多くの世代にわたる骸骨を運び去った。毎年イギリスは他の国々の岸から自国の岸へと,人間350万人分に相当する肥料を持ち去っている。」

参考文献

1)トリフォノフ著,阪上正信,日吉芳郎訳:化学元素発見のみち16-17頁,内田老鶴圃(1996)

2)H. J. M. Bowen:Trace Elements in Biochemistry p116,Academic Press(1966)

3)小田部広男著:リン鉱石とリン資源 442頁,日本燐資源研究所(1997)

4)サトクリフ著,市場泰男訳:エピソード科学史Ⅲ 127-134頁,社会思想社(1972)

 

 

茶園からの窒素溶脱と窒素負荷軽減対策

熊本県農業研究センター茶業研究所
研究参事 城 秀信
(現 熊本県農政部経営技術課 農業専門技術員)

1.はじめに

 近年,地下水の水質悪化が懸念されており,その中で硝酸態窒素については農耕地からの窒素溶脱が主要な負荷源とみなされている。

 茶は多肥栽培の代表的な農作物といわれており,かつては窒素成分で10a当たり年間100kgを超える施肥が行われていた。近年は環境保全的な意識の高まりとともに施肥量は減少傾向にあるものの他の作物に比べれば依然として施肥量は多く,茶園からの窒素溶脱が地下水の水質ヘ与える影響が懸念されている。

 ここではライシメータを用いて茶園からの窒素溶脱量を測定した事例と,硝化抑制剤入り被覆尿素配合肥料を用いて茶の生産性を維持しながら施肥窒素量を削減した試験事例について紹介する。

2.茶園からの窒素溶脱

 幅5.4m,奥行き3.6m,土層の深さ1mの鉄筋コンクリート製のライシメータに赤黄色土を充填し,2年生の茶苗’やぶきた’を畦幅1.8m間隔で植栽した。

 芽出し肥と夏肥に硫安を用い,春肥及び秋肥では有機配合(有機率53%,有機態窒素の割合34%)を用いた施肥体系で年間の施肥窒素量を0,45,60,90kg/10aの4水準を設けた試験区を作り,定植後1年目は設定した施肥窒素量の50%,以後2年目80%,3年目90%とし,4年目以降は設定施肥窒素量で肥培管理した。表1に施肥時期と施肥量について表記した。

 ライシメータの土層を浸透し,底部から排出される水を貯留タンクに貯留し,定期的に水量と貯留水中の硝酸態窒素濃度を測定し,水量と硝酸態窒素濃度から溶脱窒素量を算出した。

1)降水量と窒素溶脱

 設定施肥窒素量通りの施肥を開始した定植4年目から10年間の各試験区の年間溶脱窒素量を算出し,施肥窒素量と溶脱窒素量の関係について解析した。また,降水量と溶脱窒素量の関係についても解析を行った。

 年間施肥窒素量60kg/10aの年間窒素溶脱量と年間降水量の関係を図1に示した。年間の窒素溶脱量は,年により変動が大きく,年間降水量が3,309mmで平年の1.5倍以上であった平成5年は54.0kg/10aと年間施肥窒素量の9割に相当する窒素が溶脱した。年間降水量が938mmで平年の1/2程度であった平成6年は,16.5kg/10aと少なくなったが翌年の平成7年は年間降水量は平年並みであったにもかかわらず窒素溶脱量は48.1kg/10aと多かった。平成8年以降の年間窒素溶脱量はほぼ年間降水量に対応して増減しているが,特に6~7月の2ヶ月間における降水量と増減の変動はよく一致した。

 年間施肥窒素量60kg/10a区における時期別の降水量と窒素溶脱量(平成4~14年までの10年間の平均値)を図2に示した。年間における時期別の窒素溶脱量も降水量に対応して増減し,降水量が多い時期は窒素溶脱量も多かった。特に梅雨時期に当たる6~7月は年間降水量(2002mm)の44%に相当する降水が集中するためこの期間の窒素溶脱量は15.4g/㎡となり,年間窒素溶脱量(32.8g/㎡)の47%に相当する窒素が溶脱した。

2)施肥窒素量と窒素溶脱

 施肥窒素量が異なる場合の年間窒素溶脱量(平成4~14年までの10年間の平均値)を図3に示した。無施肥の場合,年間窒素溶脱量は3.0g/㎡と少ないが施肥窒素量45kg/10aで年間窒素溶脱量は21.1g/㎡と施肥を行うと溶脱窒素量は多くなり,施肥窒素量が増加するにつれて溶脱量は増加した。

 施肥窒素量に対する溶脱窒素量の割合は,45kg/10aの場合47%程度と高く,60kg/10aで50%となり,90kg/10aでは57%と施肥窒素量が増加するにつれて溶脱する割合も高くなった。

3.硝化抑制剤入りLP複合肥料による施肥

 茶における環境保全型施肥法を確立するために硝化抑制剤入り被覆尿素配合肥料を用いて施肥窒素量を削減した施肥法の有効性を検討した。

 供試品種は’やぶきた’(平成2年3月定植)を用い,試験区の肥料として3月に施用する春夏肥としてDd入りLP配合(22-10-7)を用い,8月下旬に施用する秋肥としてDd入りLP配合(17-14-10)を用いた。

1)生葉の収量,品質及び製茶品質

 Dd入りLP配合肥料を用いた試験区の一番茶収量は,対照医と比較して11年は114%と増収し,12年は91%と減収,13年は96%とやや減収,14年は127%と増収した。一番茶の生葉収量比は,年により増減がみられたが試験期間を通して考察すると対照区と同程度と考えられた。

 葉中成分は対照区と比較して12年度及び13年度については全窒素及びN/F(窒素/繊維)値がやや高くなり,生葉の品質は対照区と比較してやや高いと考えられた。14年度は収量が高かったこともあり,葉中成分は全窒素,N/F値はやや低くなり生葉品質は対照区よりやや劣っていたと考えられた。一番茶の生葉品質は年により変動がみられたが試験期間を通して考察すると対照区よりやや優れているのではないかと考えられた。

 二番茶は11年と14年の2ヵ年の調査結果しかないものの11年のDd入りLP配合区の二番茶収量比は対照区と比較して114%と増収し,14年は98%と対照区と同程度であった。

 Dd入りLP配合区の一番茶の製茶品質は11年では対照区と比較して内質で1点高く,合計点で1点劣った。12年は外観,内質で1点づつ優れ合計点で2点上回った。13年は内質で3点優れ合計点でも3点上回った。14年は内質は同点であったものの外観で2点劣り合計点で2点下回った。

 一番茶の製茶品質は,生葉品質をほぼ反映した結果となり,Dd入りLP配合区で内質が優れた結果となった。

 二番茶は11年は外観,内質で1点づつ優れ合計点で2点上回った。14年は内質で1点優れ合計点で1点上回った。

 以上のことからDd入りLP配合区の茶の生産性は対照区と同等以上であると考えられた。

2)土壌の化学性

 Dd入りLP配合区では,対照区と比較して土壌中のpHとアンモニウム態窒素含量が高く推移する傾向が認められ,特に土層の浅い部分でその傾向は強かった。

 土壌のpHが対照区より高い理由としてはDd入りLP配合肥料区が硫酸根の含有が少ないため土壌の酸性化が緩やかなことと硝化抑制剤の作用によりアンモニウム態窒素含量が高まり,土壌の酸性化を抑制するのではないかと考えられた。土壌中のアンモニウム態窒素含量については,肥料に配合されているDdの硝酸化成抑制作用によるものと考えられた。

おわりに

 現状の茶栽培で多く用いられている有機配合と速効性肥料を主体とした施肥法について施肥量と窒素溶脱の関係について検討を行い,この施肥体系では窒素の溶脱割合が比較的高いこと及び施肥窒素量が増加するにつれて溶脱窒素量は増大することが判明した。特にこの施肥体系では速効性窒素成分を施用する時期の後半部分が梅雨時期に当たり,多量の窒素がこの時期に溶脱していることが問題点であると考えられた。

 茶の窒素吸収量を減じることなく,土壌中の硝酸態窒素含量を高めないことが茶園からの窒素溶脱量を削減するために必要であるが,硝化抑制剤入り被覆尿素を用いて減肥した施肥法は有効な技術の一つであると考えられた。

 

 

ウンシュウミカンに対する被覆複合肥料の施肥法

和歌山県農林水産総合技術センター
果樹試験場 環境部
副主査研究員 橘 実

1.はじめに

 和歌山県のウンシュウミカン栽培は傾斜地が多く,15度以上の急傾斜園は全体の61%を占めている。傾斜地園での施肥作業は,生産者の高齢化や労働力不足が進む中で大きな負担となり,施肥管理の省力化が望まれている。

 そこで,収量や果実品質を低下させずに施肥量や施肥回数を少なくすることを目的とし,被覆複合肥料を用いた年1回施肥法(8月下旬)が,極早生ウンシュウミカンの若木に及ぼす影響を調査したので紹介する。

2.試験の概要

 「日南1号」の2年生苗を,1994年3月に場内(褐色森林土,土性CL)に定植し,これを供試した。調査時期は4年生~10年生である。畝巾2m,畝の高さ0.5m,畝の長さ16mの高畝栽培で,樹間は2mであった。被覆複合肥料は,シグモイド型140日溶出タイプ(14-12-14)とリニア型180日溶出タイプ(14-12-14)を6:4の割合で混合した。これは,果実成熟期の窒素成分溶出を抑制し,果汁の減酸や着色等への悪影響軽減を考慮した組み合わせである。

 慣行は,有機配合肥料及び緩効性化成肥料を年2回分施(3月下旬,10月下旬)した。

 年間窒素施用量は各区とも1996年は10.0kg,1997年から2002年は12.0kgとした(第1表)。

3.結果と考察

1)土壌中無機態窒素含有量の推移

 土壌中無機態窒素含有量の推移は,被覆複合肥料で施用後の急激な増加はほとんどなく,0.57~4.42mg/100gと年間を通じて変動が少なかった(第1図)。有機配合及び緩効性化成は年により施肥後に高くなった。

2)樹体栄養,生育

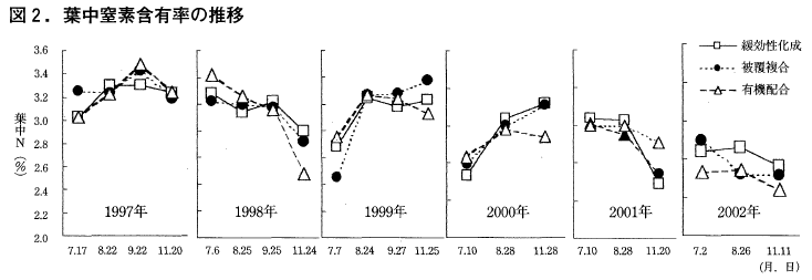
 葉中窒素含有率は,いずれの肥料もほぼ同様に推移した(第2図)。果皮中窒素含有率,果汁中窒素含有量は,年次変動があるものの肥料による明らかな違いはみられなかった(図省略)。

 主幹の幹径は,被覆複合肥料は緩効性化成肥料と同程度で,配合肥料より大きかったが,形状は被覆複合肥料と緩効性化成肥料が楕円形で,配合肥料は円形であった。

 幹周は,各区間には差がなかった(第3図)。

3)品質,収量

 収穫期の10月中旬に果実の調査を行った。糖度は,8.9~11.0の範囲で,年次による変動があったが,各区間には差はなかった(第4図)。クエン酸含有率は0.72~1.04の範囲で各区間に差はなかった(第5図)。果皮色は年次変動が大きいものの,各区間には差はなかった(第6図)。

 果実収量は,若木であることから各区とも毎年増加し,2002年には1樹あたり22kg以上となった。各区間には大きな差はなかった(第7図)。

4)まとめ

 極早生ウンシュウミカンの若木に対する被覆複合肥料の年1回8月下旬施用は,樹体栄養,果実品質,果実収量の面からみて,有機配合肥料および緩効性化成肥料の年2回分施とほぼ同じ効果であり,施肥管理の省力化が可能と判断された。年N 12kg/10a施用する場合,有機配合肥料より5,000円/10a程度コストは高くなるが,施肥作業時間の大幅削減が可能であり,8月下旬の施肥であるため収穫作業と重なることもない。

 今後は成木での施肥法や,施肥量削減(2001年度より20%削減区を設置)について検討するとともに,清耕裸地裁培で表面施用した場合における要素溶出パターン,環境負荷等についても調査する予定である。

 

 

肥料と切手よもやま話(10)

越野 正義

肥料と環境保全

 環境問題に関連して多くの切手が発行されている。絵がきれいなのは野生生物保護の切手であり,水,空気の保全は絵になりにくい。デザイン的にユニークなのはドイツから発行された切手で,ミケランジェロのダビデ像の鼻と口をクローズアップして大気と水の保全を訴えている。ただ説明がないと何のことか分からない。

 かつて農業は公害の被害者になりこそすれ環境を破壊すると批判されることはなかった。しかし最近では硝酸の地下水での集積、湖沼の富栄養化における関与など農業の加害者的側面が議論されることが多い。

 肥料は植物の養分を補給するものであり,もともと土壌中にも存在する。作物の収穫で土壌から失ったものを補充するのが目的である(リービヒ)。

 硝酸は植物が土壌から吸収する窒素化合物であり,これが不足すると生育が悪くなる。ただし土壌中で過剰になると土壌に吸着されないので溶脱して,地下水中の濃度を上げる。あるいは同化速度より早く吸収されてしまい植物中に集積することもある。

 土壌中に硝酸が多くなるのは肥料ばかりでなく,家畜排せつ物などの有機性資材を多量に施用した場合も同様である。畑土壌中では有機態窒素は無機化されいずれは硝酸に変化する。

 被覆肥料は窒素の補給がゆっくりであるから,土壌中で無機態窒素が過剰にならない。したがって地下水や植物体内の硝酸集積になりにくい。硝酸化成抑制剤も同様な効果がある。そのため環境保全型農業で推奨されている。

 (財 日本肥糧検定協会 参与)