§ナガイモに対するスーパーNKロングの施用効果(2)
北見農業試験場 畑作園芸科
科長 西田 忠志
§水生作物:(2)
町おこし特産品としてのマコモタケ
ジザニア・水生植物研究会
会長 三枝 正彦
§2003年本誌既刊総目次
北見農業試験場 畑作園芸科
科長 西田 忠志
ナガイモに対するスーパーNKロングの施用効果については,平成13年発行の農業と科学8月号に「ナガイモのマルチ栽培におけるスーパーNKロングの施用効果」という題名で平成11年及び12年の2ヶ年の成果を掲載させていただいた。今回はこれに平成13年の結果を加えた研究成果を紹介する。この成績は平成13年度の北海道農業試験会議において,課題名「被覆窒素肥料を用いたナガイモマルチ栽培の安定生産技術」として普及推進事項となった。
その成果の主な内容は,北海道の十勝地域においては,スーパーNKロング203(type70)の全量を基肥に施肥することによりナガイモの高品質安定生産が可能であり,その時の施肥量は窒素成分として15kg/10aが望ましいという結果であった。しかし,上記の試験成績はすべてマルチ資材を使用した条件下であったため,平成14年度は無マルチ栽培区も設定し,もう一年間試験を継続した。したがって,今回は平成14年度の無マルチ栽培下における試験結果も含め,ナガイモに対するスーパーNKロングの施用効果について考察する。
十勝農試圃場(褐色火山性土,土性:壌土)
11・12年=マリーゴールド(開花後鋤き込み),13・14年=ヘイオーツ(出穂後鋤き込み)
十勝選抜系ナガイモ
スーパーNKロング203(type100)スーパーNKロング203(type70)

(1)速効性肥料:硫安,S121→N施肥量4水準(12.5,15,17.5,20kgN/10a)<分施なし>
(2)緩効性肥料:スーパーNKロング→N施肥量4水準(12.5,15,17.5,20kgN/10a)<分施なし>
グリーンマルチ

全試験区ともに,トレンチャ施工後に通路を除いた幅およそ90cmの畦間に表面施用し,レーキで混和した。したがって,肥料はマルチ内の深さ10cmまでの範囲にしか混和されていない。


十勝農試では,ナガイモの窒素吸収特性を明らかにするために,経時的な抜き取り調査を行って窒素吸収量の推移を調査している。図1は平成10年からの調査結果をまとめたものであり,硫安を用いた窒素施肥量20kg/10aでのマルチ栽培区における吸収量の推移である。

窒素を20kg/10a施用した場合でも,植付け後60日を経過した時点ではナガイモの総窒素吸収量は2~3kg/10aにすぎなかった。植付けた種イモ中にも約1kg/10aの窒素が含まれており,植付け後2ヶ月が経過しても,施肥した窒素はほとんどナガイモに利用されていない。その後生育は旺盛となり,十勝地域では9月下旬頃に茎葉最大繁茂期となる。9月下旬の茎葉最大繁茂期以降はイモの充実期であり,イモの新鮮重はあまり増加しないのに対して乾物率は急激に上昇していく。この時期は茎葉部とイモ部での養分の競合を避ける必要があり,茎葉部は気温の低下とともに徐々に黄変して,10月中旬にはほぼ全体が黄変するというのが理想的な生育パターンである。
以上をまとめるとナガイモの生育及び養分吸収特性は次のようになる。
①植付け後60日目までは種イモの栄養で生長し,施肥した肥料分をほとんど利用しない。
②60日目~120日目頃の生育はきわめて旺盛であり,ナガイモの平均的な栽培日数である160日間のうち,この60日間(7月下旬~9月下旬頃)でほとんどの生育と養分吸収が行われる。
③120日目以降はイモの肥大はほぼ完成しており,茎葉の枯凋にともなうイモへの養分の転流が盛んになる。
④150日目以降が収穫期となり,この時の総窒素吸収量は収量にも左右されるが,およそ10~12kg/10aである。
本試験の結果では,5000kg/10aを越える高収量であってもナガイモの窒素吸収量は最大で15kg/10a程度であったことから,土壌からの窒素供給量を考慮すると,現在の窒素標準施肥量である15kg/10aは適正な量であるといえる。しかし,栽培期間が長いうえに初期の窒素吸収が緩慢なナガイモの場合は,速効性肥料による基肥重点型の施肥法ではマルチ栽培であっても肥料の利用率が低下する可能性がある。さらに,マルチを使用した場合では現実には効率的に分施を行うことは困難であることから,緩効性肥料による全量基肥栽培はナガイモ栽培にとって合理的な施肥管理法であるといえる。
表1に示した中で,S121とスーパーNKロング70については,平成12年には「12.5kg/10a」区および「17.5kg/10a」区を設定しなかったために平成13年の試験結果のみをカッコ内に示してある。したがって,試験処理間の比較には図2,3に示した「15kg/10a区」及び「20kg/10a区」の結果を用いる。

試験を行った平成12年は高温年であったのに対し,平成13年は7月以降の気温が常に平年を下回る低温年であった。したがって,平成13年は茎葉の生育がやや抑制気味であり,平成12年に比べると「硫安区」・「スーパーNKロング100区」での総窒素吸収量は約5kg/10aも低い値となった(表2)。

スーパーNKロング区の収量は,「硫安区」に対して「スーパーNKロング100区」はほぼ同等,「スーパーNKロング70区」は約10%の増収となり,「スーパーNKロング70」の15kg/10a区は2ヶ年平均でも約5300kg/10aという高収量を記録した(図2)。

規格外品となる障害イモは,各肥料ともに窒素施肥量が少ないほど発生が多くなる傾向があった。特に「硫安区」での発生が多く,「12.5kg区」では総収量は4350kg/10aであるが,障害発生率が39%となったために規格内収量は2650kg/10aにすぎなかった(表1)。
「スーパーNKロング100」は,植付け後の萌芽が早く初期生育が旺盛であった平成12・13年では,7月中旬からのナガイモに対する窒素の供給がやや遅れた可能性があり,特に低温年であった平成13年にはこの傾向がめだった(表2)。「スーパーNKロング70」は溶出期間が70日タイプであり,北海道のナガイモ栽培においては,初期生育が旺盛な圃場の場合も考慮すると70日タイプが最も適していると思われる。さらに窒素施肥量が15kg/10aであっても,障害イモの発生率が12%と少なく,ナガイモのマルチ栽培において安定した肥効が期待できる。

写真1に示したように,特にナガイモの生育が旺盛な高温年には,下層の排水性が劣る圃場ではイモの先端に障害が多く発生することが分かっている。しかし十勝農試圃場では,低温年あるいは排水の良好な場所であっても,窒素施肥量が10kg/10a以下の試験区では毎年多くの先端奇形が発生する。その症状は植付け後90日目頃(8月中旬)から徴候が認められ,110日目を過ぎると写真3のように容易に判別できるようになる。8月の1ヶ月間はナガイモの生育がもっとも旺盛な時期であるが,特にイモ長の増加が著しい「イモ伸長期」にあたり,一日で1cm近くイモが生育する場合もある。したがって,イモ先端部が盛んに細胞分裂を繰り返し,土壌深くイモが伸長していく時期に窒素不足がおきることが,写真3,4に示した先端奇形の原因であると考えられる。




以上の結果をまとめると,イモ部の窒素吸収が旺盛となる植付け後70~80日目まで施肥窒素が無駄に溶出することなく,生育中期以降はナガイモの生育に対応した効率的な窒素供給が可能であるという点では,スーパーNKロング70のナガイモマルチ栽培に対する全量基肥栽培の実用性は高いといえる。
平成11~13年の試験結果により,ナガイモのマルチ栽培におけるスーパーNKロングの全量基肥栽培では,窒素肥沃度の低い十勝農試圃場であっても,15kg/10aの窒素施肥量で安定した高収量を上げることが可能であった。しかし,スーパーNKロング100の場合は,初期生育の旺盛な年にはナガイモに対する窒素の供給がやや遅れたことから,北海道におけるナガイモ栽培には,溶出の早いスーパーNKロング70が適しているといえる。
現在,十勝地域でのナガイモ栽培におけるマルチの利用率は60%程度であると思われるが,産地によってはマルチを使用しない場合も多い。したがって,平成14年には無マルチ栽培下でのスーパーNKロング70に対するナガイモの施肥反応を検討した。
平成14年は,ナガイモ植付け期の6月中旬~下旬は気温は高めに推移したが,その後,萌芽期以降の6月中旬からは平年を下回ることが多く,やや低温年であったといえる。そのため,マルチによる生育促進効果が認められ,無マルチ区に比べてやや増収となった。
植付け後62日目の調査では,平成12年及び13年に比べて茎葉の生育量は60%程度であり,初期生育が不良であった。スーパーNKロング70はマルチ区でもやや生育及び窒素吸収量が劣ったが,無マルチ処理での肥効が明らかに遅れていた。
「スーパーNKロング:マルチ区」では速効性肥料に比べるとやや窒素の肥効が遅れたものの(表3),その後の生育は順調であり,窒素施肥量12.5kg/10a区でも高い収量を示した(表4)。「スーパーNKロング70:無マルチ区」ではやや収量が劣っているが,本年度はマルチ資材によって10%前後の増収効果が認められていることから,無マルチ区の減収は地温による影響が大きいと思われる。



収量調査の結果,標準窒素施肥量である15kg/10a区の比較では,対照区である「硫安:マルチ区」に対して,収量指数は「S121:マルチ区」で99,「スーパーNKロング70:マルチ区」で100,「硫安:無マルチ区」で94,「スーパーNKロング70:無マルチ区」で91となった(表4)。
イモ先端部の障害は「無N-区」では100%であったが,それ以外では全般的に発生が少なく5%前後の値であった。先端部の奇形以外の障害発生もほとんどなく,規格内率がきわめて高い年であった(表4)。スーパーNKロング70の施用効果は,マルチ栽培では速効性肥料区と同等であったが,無マルチ栽培ではやや劣る結果となった。本年度は低温であったうえに,施肥窒素吸収期である9月までの降水量が平年をかなり下回る乾燥年であったことも無マルチ区でのスーパーNKロング70の肥効および生育が劣った要因と考えられる。
平成11~14におけるナガイモに対するスーパーNKロングの施用効果を検討した結果を以下にまとめる。
1)シグモイド型の溶出パターンを示す「スーパーNKロング100」および「スーパーNKロング70」は,安定した収量を示したうえに障害イモの発生も少なかった。このことから,同資材はナガイモの生育及び養分吸収特性に適合した緩効性肥料であり,ナガイモマルチ栽培における全量基肥用の資材として,その実用性はきわめて高いといえる。
2)しかし,「スーパーNKロング100」では,初期生育がきわめて旺盛となった平成12年と13年にはナガイモに対する窒素の供給がやや遅れたことから,北海道におけるナガイモ栽培には溶出の早い「スーパーNKロング70」が適していると思われる。
3)平成14年にはマルチ資材の有無とスーパーNKロングの施用効果の関係を検討した。その結果,マルチ栽培におけるスーパーNKロング70区の収量は速効性肥料区と同等であったが,無マルチ栽培の場合は速効性肥料区に対してやや劣る結果となった。本年度は低温であったうえに,施肥窒素吸収期である9月までの降水量が平年をかなり下回る乾燥年であったことも無マルチ栽培での「スーパーNKロング70」の肥効およびナガイモの生育が劣った要因と考えられる。
4)「スーパーNKロング70」の無マルチ栽培は単年度のみの結果ではあるが,マルチを使用した場合に比べると初期生育時における窒素供給がやや遅れる傾向が認められた。したがって,「スーパーNKロング70」を用いたナガイモの全量基肥栽培においては,年次による気象変動や圃場間差も考慮すると,速効性肥料を窒素成分で三分の一程度混合することで,マルチの有無に関わらずより安定した肥効が期待できるであろう。
ジザニア・水生植物研究会
会長 三枝 正彦
アジアに分布するマコモ(Z. latifolia Turcz.)は多年生で,古くから神事に使われてきた。この野生のマコモは出穂し,前回報告したワイルドライスと同じような子実をつけ食用となるが,黒穂菌が寄生すると出穂せずに,茎が肥大し筍(マコモタケ)を産する。今回紹介するマコモタケは,このような黒穂菌が共生し筍を産するもので,中国での長年の品種選抜を経て作物となったものである。それゆえ,マコモタケは納豆やキノコなどと同様に菌食である(中村2000)。
マコモ(Z. latifolia Turcz.)はアジアの温帯,亜熱帯を原産とする多年生のイネ科植物で我が国では北海道から九州に至るまで自生し,カーモ,カジキ,カズキ,カチギ,コモ,コモクサなど多数の方言がある(中村,1985,2000)。我が国では聖なる植物として神仏の祭事に使われ,また葉でちまきをつくり,また蓑や和紙の原料,家畜の餌に使われた。さらに葉や根にはせき止め,熱冷まし,整腸,2日酔いに効くと言われる。細い新芽や実は食用ともされる。
しかしながら,今,町おこしの特産品としてのマコモは,このような自然のマコモではなく,黒穂菌(Ustilago esculenta P. Hennings:意味は食べられる黒穂菌)の感染によって分泌されるインドール酢酸の刺激で幼茎が異常に肥大(菌えい:ファンガル)したもの(筍)である。中国ではジャオパイ,トンチョンとも言われ高級料理の素材となる。銀座の高級中華料理店”アスター”の名物料理とも言われる。本場の中国江南一帯では既に三世紀頃より栽培されていたといわれる(中村2000)。
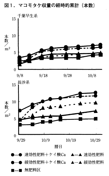
日当たり,通風が良く,土壌は粘土質で有機物に富むものあるいは堆肥を充分にやる。マコモは養分要求が大きく,病害虫が発生するので連作すると収量,品質が低下する(株分けすると同じ場所でも高い収量が得られるので連作障害ではない)。したがって同じ場所に栽培するには毎年株分けして植え直すことが重要である。マコモタケは暖かい地域を好むが,筆者の職場のある寒冷地,宮城県鳴子町でも千葉早生系(千葉農試で選抜)なら充分に生育でき,また長沙系でもほぼ収穫が可能であった(三枝・結城2002,図1参照)。

また黒穂菌の活性が強く,マコモタケほどは茎が肥大しないが,ある程度は肥大し真っ黒なマコモ墨をつくる系統が,秋田県仙北郡神岡町の久米川さんによって栽培され,鎌倉掘り用に出荷されている。
各品種の収穫適期は1ヶ月程度であるので早生の千葉系(9月中,下旬~)や長沙系(9月下旬~),昆明系(10月中旬~)などを組み合わせて,収穫時期を延長し,労働力分散と出荷期間の延長を図ることが重要である。また地下茎が伸びて旺盛に繁茂するので圃場を変えて品種毎に栽培する必要がある。我が国には既にかなりの品種が導入されているがその分布(栽培地)や生育特性,産地適性などはまだ十分解明されていない。これらの系統を保存し,いつでも需要に応えられる種子(苗木)バンクの設立が不可欠である。いずれにしても収穫適期が短く季節性が高いので他の水生作物と組み合わせて栽培し,特産化する方がよい。
株分け貯蔵苗か直接株分け苗を株間が等間隔になる正常植えと2行毎に間隔が広くなる二条並木植えがある。後者は風通しや光の透過が良く,更に作業もし易い。株間1~1.5m,畦間1.5~2m位とする。植え付けは5月上旬に行うことが多い。一般的に植え付けが遅くなると収穫期が遅れる。また食用ではないが,宮城県伊豆沼サンクチュアリーセンターでは冬期に野生のマコモの地下茎を掘り出し,切断し,ビニールトンネル内で発芽させ,白鳥の餌用に沼や周辺に移植栽培している。またこの方法は大量増殖が可能であり,湖沼の水質浄化を目的に野生のマコモを大量に必要とする時に有効である。
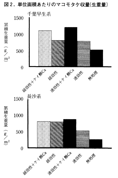
施肥量は土壌肥沃度,堆肥の施用量でも異なるが,標準的には基肥はN,P2O5,K2Oでそれぞれ10kg/10a,追肥はN,K2Oをそれぞれ2.5kg/10a程度7月中旬と8月中旬に施用する(長島1999,2000)。また肥効調節型肥料(100日タイプの被覆尿素)を用いれば図2に示されるように多少減収するが,全量基肥施用栽培が可能となり追肥が省略できる。さらに収穫期のマコモ葉には6%前後のケイ素(Si)が含まれており,多孔質ケイ酸カルシウム(150kg/10a)やケイ酸カリウムなどの珪酸資材の施用が有効である。図2を見ると緩効性肥料区も速効性肥料区もケイ酸カルシウムの施用効果が充分期待できる。マコモタケは耐肥性が強く,長野県豊野町では9月初旬に3回目の追肥を行い,N全量で10a当たり28kgを施用し,多収栽培を試みている。

堆肥は緩やかに分解し,窒素やリン酸,カリなどの三大要素の他,多くのミネラルを供給できる。また堆肥は土壌の物理性改善(土壌を膨軟にし,固相率の低下,孔隙率の増加を通じて,保水性,易耕性,通気性,通根性の改善),微生物性の改善による連作障害回避,土壌の緩衝能の強化,陽イオン交換容量の増大に伴う保肥力の改善,有機成分による成長促進,など化学肥料には無い多くの利点が知られている。この中でも収穫前の潅漑が停止される地域では堆肥の大量施用で土壌が膨軟となり水分ストレスがかなり軽減できる。それゆえ堆肥が入手できる地域では,10a当たり1~3tの堆肥と標準量の化学肥料の併用が望ましい。なお,有機栽培を行うには5~10t程度を施用する(潮来町では10a当たり,堆肥9トンを施用して高収量を得ている)。
マコモはマイナークロップなので現在のところ登録農薬がない。そこで雑草を制御するには深水栽培で光を遮断し,最強害雑草ヒエの発生,生育を抑制し,残りの雑草は放任あるいは機械的な除草を行う。無農薬栽培で深水管理をすると今まで見られなかった水葵やコナギが大発生する(三枝・結城2003)。これを削草機で除草しても埋土種子が多く,次から次へと出現する。このような背の低い雑草は完全に除くのではなく,むしろ水面を被わせて他の強害雑草の抑制に使うことも有効である。また,水稲の有機栽培と同様に,紙マルチや墨液で光を遮断し,抑草することも有効と思われる。水稲の有機栽培では最近,除草にアイガモを使う例が多いが,アイガモは補虫することも確かめられており,雑草と害虫防除にも有効と思われる。
ニカメイガやイネドロオイムシ,ホソミドリウンカの被害が報告されているが登録されている農薬は殺虫剤のパダンのみである。ニカメイガの生態については東京大学農学部の田付貞洋教授らによって研究されており,稲個体群よりマコモ個体群の方が体のサイズが大きいこと,雌が雄を誘引するためのホルモンを放出する行動(コーリング)が稲個体群では日没後早い時期であり,マコモ個体群では夜明け近くであることが明らかにされている(松倉・田付2003)。
一方,水稲のイモチ病はマコモタケには感染しないといわれるがマコモタケ特有のイモチ病があり,図3に見られるような品質低下を招く。この他にもマコモの病気としてはサビ病,紋枯れ病などがある。現在のところ登録殺菌剤は無いので畦間と株間を充分に保ち,株内の枯死葉や無効分げつは除去し,通風を良くすることが重要である。また完全防除は難しいが,ケイ酸資材の施用で,茎葉の物理的抵抗を高めることによって,稲と同様に,ニカメイガやイモチなどの病虫害を軽減することができる。

抑草や高収量確保には水管理が重要である。生育前半においては抑草と,保温の視点から深水栽培が有効である。また夏季に著しい高温が続く地域では潅漑によって水温を低下させる効果がある。稲作地帯では8月下旬から落水処理が行われるが,生育後期の水不足は葉枯れによる減収や品質低下を起こすことがあるので,少なくとも収穫1ヶ月前までの給水は必要である。
マコモに共生する黒穂菌は気温が20℃前後になると活動が活発化し,収穫は早生種では9月中旬頃から始まる。図4のように,茎が肥大し,葉鞘の抱合部がゆるみ中の白いマコモタケが見えた時を収穫適期とする。適期を過ぎると内部の黒穂菌による黒色斑点が多くなる。各品種の収穫適期は1ヶ月程度であるので早晩品種の組み合わせによって収穫時期の拡大と労働力の分散を図る。また植え付け時期や気温,窒素施用量を変えることによって収穫期を調節することが可能である。しかしながら,豊野町の寒冷紗試験を見ると,日射量は生育量に大きく影響するが生育速度に影響せず,収穫期の調節はできないことが明らかにされた。また道山らの研究によれば日本の栽培マコモは日長反応性を示すと言われる(道山ら,1993)。

通常のマコモは黒穂病菌が感染しているので出穂しないが,栽培途中に茎が肥大せずに出穂することがある。この株を雄株,雄マコモとも呼ばれるが抜き取る必要がある。
豊野町ではナメクジの被害が報告されているが,登録農薬がない現状では水田状態での退治は難しい。できるだけ風通しをよくし,大発生を防ぐことが重要である。
マコモは寒さにはかなり強いが霜にあたると地上部が萎れ,マコモタケの水分が減少し,商品価値が無くなる。茶畑のように扇風機による霜よけや霜の降り難い地域で栽培することが重要である。
マコモは葉,マコモタケ,根,共生する黒穂菌そのもの全ての組織が有効で使い道が広く,いろいろな利用方法が開発されている(図5,6)。


しかしながら,現在のところ風味や歯ごたえ等を維持しながら塩蔵や缶詰などで長期保存することが難しく,今後の検討が必要である。ここでは幾つかの写真と利用項目のみを示した。またマコモ料理のレシピとカラー写真を載せた冊子やパンフレットが,石川県津幡町,茨城県潮来市,長野県豊野町などで作られている。
①茎葉の利用
:神事に利用:お守り,厄払い,正月飾りなど,鹿島信仰
:生活用品:ゴザ,蓑,包装材,壁掛け,マコモ茶,など
:家畜の飼料,マコモ風呂(保温,皮膚の清浄)
②マコモタケ,若芽
:料理(サラダ,炒め物,酢味噌和え,おろし揚げ,肉巻き,おやき,ハンバーグ,煮物,てんぷら,ピザ,炊き込みご飯,巻き寿司,甘酢づけ,スープ,すいとん,マコモアイスなど多数)
③植物体
:環境浄化(ビオトープ):魚礁,水田保全作物
④マコモ墨
:鎌倉彫の古色づけ
⑤マコモの実
:食用
⑥根
:白鳥の餌(伊豆沼)
また薬用効果としては子実(菰米)は解熱,整腸作用が,葉は歯を養い,のどの渇き止めに有効,根は解毒,のどの乾き,胃腸病,胸やけ,火傷,毒蛇毒,二日酔いなどに有効とされている。またマコモタケは豊富なビタミンA,C,と炭水化物を含み新陳代謝を促進し血液中の老廃物の一掃に効果あり。糖尿病,高血圧,母乳不足,便秘,排尿,暑気あたり,慢性胃腸病にも有効と言われている。マコモタケの機能性については現在静岡大学農学部,河岸洋和教授が研究中である。
一村一品運動に端を発して,全国各地で町興しが行われている。筆者の勤めるフィールドセンターは温泉と観光で有名な鳴子町に位置するが,土地柄「町興し」の手伝いをすることが多い。内容はこの町に適した特産物を発掘することである。筆者は町興しの特産物にするための条件を次のように考えている。①物語性がある②美味しい,美しい③周年供給が可能(季節限定だが組み合わせで周年供給)④保存性や加工性(手づくり)に優れる⑤婦女子,お年寄りが主体となれる⑥機能性など付加価値がある⑦作りやすく(気候的,土壌的観点)高収量⑧良いネーミング⑨支援体制が確立できる⑩珍しい⑪安全,安心などである。
この条件をマコモについて対応番号毎に見ると,
①マコモは全国的に神事に関わっており,神社,仏閣とつなげばどこでも容易に物語ができる。
②白くてほのかな甘みがあり,マコモタケは美しく美味しい。またマコモの茎葉は清々しい緑で,原風景としても重要であるが葉の工芸品の素材としても素晴らしい。
③周年供給は今のところ難しいが,中国では1年2回収穫があり,品種や栽培法,全国的なネットワークで考えると,かなり供給時期が長くなる。その上,保存性や加工性が高まれば製品としての周年供給が可能となる。
④販売用の塩漬けや缶詰は未完成。
⑤収穫,管理に手間がかかるので,お年寄りや婦女子の力は不可欠である。
⑥中国では多様な機能性が知られている。
⑦作りやすく,高収量で収穫の喜びが大きい。
⑧イメージし易く,良いネーミングがつけ易い。
⑨町の理解が大事
⑩大変珍しくニュースバリューが高い(各地の新聞に頻繁に取り上げられている)
⑪丈夫で有機栽培が比較的容易で,生産者-神社-学校教育(環境および食農教育)-行政-流通-消費者のネットワークをつくれば特産化しやすいと思われる。
これらを総合すると,マコモタケは町興しに適した作物である。
本年10月16,17日に全国マコモサミットが開催された豊野町を中心に長野県内では十を越える市町村が特産化を試みている。また前述の潮来市,津幡町の他に千葉県佐倉市,埼玉県加須市,熊本県豊野町,福島県熱塩加納村,宮城県鳴瀬町,中田町と全国的に特産地が生まれており,現在産地のネットワーク化が計画されている。今後の展開が楽しみな水生作物である。
1)玄松南・石井龍一:マコモの分類と中国における栽培,農業および園芸,73,371-374(1998)
2)道山弘康,山川万里恵,江幡守衛,日作東海支部報,115,33-40(1993)
3)中村重正:菌食の民俗誌-マコモと黒穂菌の利用,八坂書房,1-205(2000)
4)中村重正:マコモの利用について,農業構造問題研究,47,93-103(1985)
5)長島正,マコモタケの収穫方法について,ジザニアぶみ,14,6(1996)
6)長島正:千葉県におけるマコモの栽培,ジザニアぶみ,17,6(1999)
7)長島正:佐倉市(千葉県)におけるマコモタケの栽培と出荷(事例)ジザニアぶみ,18,3-5(2000)
8)三枝正彦・結城裕美:中山間地棚田水田の有効利用とマコモ栽培の試み,ジザニアぶみ,20,4-5(2002)
9)三枝正彦・結城裕美:無農薬栽培の問題点とマコモを中心とする町おこしについて,ジザニアぶみ,21,1-2(2003)
10)鐘維榮・李玉宝:マコモ(採筍用)の栽培と管理(1),(2)農業及び園芸,65,53-58,309-312(1990)
11)松倉啓一郎・田付貞洋:ニカメイガのイネ個体群・マコモ個体群間における生態的性質の比較,2003全国マコモサミットinとよの:12(2003)
<1月号>
§農業の方向と肥料の役割
チッソ旭肥料株式会社
社長 柴田 勝
§肥効調節型肥料の新展開と肥効向上の可能性
東北大学大学院
農学研究科附属農場
農場長 三枝 正彦
§肥効調節型肥料による施肥法研究の現状と今後
秋田県立大学生物資源科学部
助教授 金田 吉弘
§鹿児島県熊毛地域における肥効調節型肥料を利用したジャガイモの全量基肥栽培
鹿児島県農業試験場熊毛支場
支場長 江口 洋
§肥料と切手よもやま話(4)
越野 正義
<2月号>
§歴史の中の肥料
チリ硝石物語1
京都大学名誉教授
高橋 英一
§伊予柑園における肥効調節型肥料を利用した環境負荷軽減
愛媛県立果樹試験場 生産環境室
主任研究員 石川 啓
§肥料と切手よもやま話(5)
越野 正義
§野菜に対する被覆カリ肥料の肥効特性と施用効果
熊本県農業研究センター
農産園芸研究所 土壌肥料部
部長 郡司掛 則昭
<3月号>
§歴史の中の肥料
チリ硝石物語2
京都大学名誉教授
高橋 英一
§北海道における直播栽培キャベツの生育特性と直播適性品種
独立行政法人 農業技術研究機構
北海道農業研究センター 総合研究第2チーム
チーム長 山縣 真人
§技術相談問答のよもやま話(5)
独立行政法人 農業技術研究機構
野菜茶業研究所 研究技術情報官
農学博士 中島 武彦
§肥料と切手よもやま話(6)
越野 正義
<4月号>
§歴史の中の肥料
チリ硝石物語3
京都大学名誉教授
高橋 英一
§茶に対するあさひVポーラスの芽出し肥としての施用効果
静岡県茶業試験場 土壌肥料研究所
副主任 中村 茂和
§肥料と切手よもやま話(7)
越野 正義
§ホウレンソウに対するDd入りLP肥料の効果
熊本県農業研究センター
農産園芸研究所 土壌肥料部
主任技師 三牧 奈美
<5月号>
§歴史の中の肥料
カリ鉱石物語1
京都大学名誉教授
高橋 英一
§水稲乾田直播栽培における被覆肥料の効率的利用
福島県農業試験場 相馬支場
副主任研究員 吉田 直史
§肥料と切手よもやま話(8)
越野 正義
<6月号>
§歴史の中の肥料
カリ鉱石物語2
京都大学名誉教授
高橋 英一
§肥料と切手よもやま話(9)
越野 正義
§キャベツのセル内基肥による生育の斉一化技術
北海道立北見農業試験場
作物研究部 畑作園芸科
研究職員 小谷野 茂和
§クワイの肥効調節型肥料を用いた全量基肥施肥
大阪府立食とみどりの総合技術センター
みどり環境部 都市緑化グループ
主任研究員 内山 知ニ
<7月号>
§歴史の中の肥料
リン鉱石物語
京都大学名誉教授
高橋 英一
§茶園からの窒素溶脱と窒素負荷軽減対策
熊本県農業研究センター茶業研究所
研究参事 城 秀信
(現 熊本県農政部経営技術課 農業専門技術員)
§ウンシュウミカンに対する被覆複合肥料の施肥法
和歌山県農林水産総合技術センター
果樹試験場 環境部
副主査研究員 橘 実
§肥料と切手よもやま話(10)
越野 正義
<8月号>
§大豆の窒素施肥技術の展開
新潟県農業総合研究所
作物研究センター
専門研究員 高橋 能彦
§肥料と切手よもやま話(11)
越野 正義
§100年前の富山県舟川新の農村整備事業
富山県郷土史会
常任理事 前田英雄
<9月号>
§水稲へのケイ酸施用による害虫管理
埼玉県農林総合研究センタ一生産環境担当
担当部長 江村 薫
§エルニーニョ現象に伴う天候の特徴
富山地方気象台 防災業務課
調査官 河口 保
§モチ・サツマイモの育成
石川県農業短期大学農業資源研究所
教授 島田 多喜子
助教授 大島 基泰
§肥料と切手よもやま話(12)
越野 正義
<10月号>
§中山間地域の水稲点播直播における緩効性肥料の窒素溶出と施肥法
大分県営農指導課
農業専門技術員 佐藤 吉昭
(前 大分県農業技術センター 水田利用部久住試験地 研究員)
§オーストラリア・タスマニア州における夏イチゴの生産
(株)ニューアグリネットワーク
筑紫野研究所長 伏原 肇
§水生作物:(1)
ジザニア研究会とワイルドライス
ジザニア・水生植物研究会
会長 三枝 正彦
<11月号>
§水稲基肥一発肥料ひとふりくん・シリーズの開発と普及
全農栃木県本部生産資材部
技術参与 小川 昭夫
§マルチ内施肥法によるトンネル春夏どりニンジンの減肥料栽増
千葉県農業総合研究センタ一 生産工学研究室
上席研究員 草川 知行
<12月号>
§ナガイモに対するスーパーNKロングの施用効果(2)
北見農業試験場 畑作園芸科
科長 西田 忠志
§水生作物:(2)
町おこし特産品としてのマコモタケ
ジザニア・水生植物研究会
会長 三枝 正彦
§2003年本誌既刊総目次