農業と科学 平成18年12月
本号の内容
§微量元素よもやま話[3]
セレン
京都大学名誉教授
高橋 英一
§ミカン根中デンプン含有率に基づく次年着花量の予測
静岡県柑橘試験場伊豆分場
分場長 杉山 和美
§2006年本誌既刊総目次
京都大学名誉教授
高橋 英一
セレンは酸素族の第三番目の元素で,二番目の硫黄,四番目のテルルと似た性質があります。1818年スウェーデンのベルセリウス(Berzelius)は,硫酸工場の鉛室からテルル*1を分離しようとして,たまたまこれとよく似た新元素が混在していることを発見し,テルル(地球の意)との類似からギリシャ語の月(selenus)に因んでセレンと命名しました。硫黄のsulfurには「燃える」あるいは「火の元」の意味があるので太陽(日)に当たるとすれば,硫黄,セレン,テルルは日,月,地球の三兄弟になぞらえることができます。
セレンは物理的,化学的性質は硫黄によく似ていますが,地球上における存在量は硫黄に比べて極めて僅かです(表1)。しかしその存在は無視できるものではなく,次に紹介するように動物にセレンの過剰や欠乏を引き起こす地域は,地球上のかなり広範囲に分布しています。

1275年に書かれたマルコポーロの旅行記に,つぎのようなくだりがあります。
It is a fact that when they take that* road they can not venture among the mountains with any beast of burden** excepting those accustomed to the country,on a account of a poisonous plant growing there,which if eaten by them has the effect of causing the hoofs of the animals to drop off. Those of the country,however,being aware of dangerous quality,ta ke care to avoid it.
(The Travels of Marco Polo,William Marsdenによる英訳
*チベット北方の甘粛省粛州のアルカリ土壌地帯を通る道
**ウマ,ロバ,ラバなどの荷物運搬用動物)
「粛州の山々は薬草のダイオウを豊富に産するので,商人達がこれを求めにやってくる。ところがその辺りには,動物が食べると蹄が抜け落ちる毒草が生えていて危険である。しかし土地育ちの動物はそれを知っているので被害を受けることはない。それでこの地を通る旅行者は,必ず現地産の荷馬を使う。」
降って1856年8月アメリカの一軍医であったMadisonは,現在のサウスダコタ州中央を流れるミズリ一川西方にあった砦FortRandallで,これと同様な症状(蹄の脱落,脱毛,びっこ,そして死に至る)を騎兵隊の軍馬に認め,その詳細を記録しています。しかも彼はその原因は牧草にあると看破しました。
その後アメリカ中西部のアルカリ大草原地域の家畜に見られるようになったこの風土病は,アルカリ病と呼ばれ,その原因については飲み水中のアルカリ分や地表に析出した塩(大部分は硫酸塩),あるいは穀類についたカビなどいろいろな憶測がされました。しかし1929年に始まったアメリカ農務省およびサウスダコタ,ワイオミングの州立試験場による一連の動物実験の結果,セレンがその主因であることが明らかにされました。
一般の土壌のセレン濃度は0.2~0.4ppm程度で非常に低いが,母材や生成条件によっては通常の数倍ないし数十倍も高い「富セレン土壌」とよばれる特殊な土壌が存在します(表2)。

わが国にはこのような土壌はありませんが,世界的にはかなり広い面積が分布しています。アメリカ中西部のアルカリ大平原やマルコポーロの旅行記にでてくる中国北西部のアルカリ土壌地帯では,セレン濃度が高い上に可溶性のセレン酸ナトリウムや亜セレン酸ナトリウムとして存在し,植物に吸収されやすいため,それを食べた家畜に過剰害を引き起こします。一方自生植物の方はセレンに耐性があります。
セレンの過剰害には慢性のものと急性のものがあります。慢性中毒(アルカリ病)は発育遅延や蹄や体毛の異常脱落を起こしますが,急性中毒(暈倒病など)では中枢神経の損傷によって随意筋の失調をきたし,そのためによろめいたり物にあたったりし,最後には麻療をおこして死にます。これはセレン集積性の植物を食べた場合に起こります。非集積性の自生植物のセレン濃度は35ppmを超えることはまれであるのに対して,集積種では数千ppmに達します(写真)。

セレンは生物体内で同族元素の硫黄と同じような仕方で代謝され,含硫アミノ酸に対応する含セレンアミノ酸を生じます。その中でタンパク質構成含硫アミノ酸(メチオニンおよびシステイン)に相当する含セレンアミノ酸(硫黄原子がセレン原子に置き換わったセレノメチオニンおよびセレノシステイン)はタンパク質に取り込まれますが,機能的には含硫アミノ酸の場合と異なるので,代謝異常を引き起こして枯死してしまいます。非集積種が集積種のような高いセレン濃度を示さないのはそのためです。
ところが集積種はセレンをタンパク質に取り込まれないタイプの含セレンアミノ酸(例えばセレノメチルセレノシステイン,セレノホモシステイン)にします。そのため害を受けることなく吸収し続けることができ,これを液胞の中に蓄積します。しかしこれを食べた家畜は,タンパク質に取り込まれる含セレンアミノ酸に変えてしまうために中毒を起こします。
もっとも家畜のセレン中毒は昔ほど問題ではなくなっています。家畜は草が十分にあるときはセレン集積種をさけるからです。現在ではむしろ次に述べるセレン不足の方が問題になっています。
アメリカ合衆国の大西洋,太平洋沿岸地域には家畜の筋肉白化症という風土病がありました。これははじめビタミンE欠乏症と考えられていましたが,ビタミンE以外に少量のセレンの投与が有効で,牧草中のセレン含量が0.05ppm以下のとき起こりやすいことが判明しました(図1A,B)。

また中国の東北部から南西の雲南省に至る帯状地域に,”克山病”*2というヒトの風土病(一種の心筋症)がありましたが,当該地域の作物および患者の血液や毛髪中のセレン濃度が低いことから,セレン投与を行ったところ顕著な効果のあることが認められ,セレン欠乏に起因するものと考えられました(図2A,B)。

セレンの生理的役割としては,体内の過酸化物を除く作用を持つ酵素であるグルタチオンペロオキシダーゼ*3の構成元素であることがみいだされ,細胞膜のリン脂質の酸化を防ぐことに寄与していると考えられています。
広大な国土を持つアメリカや中国では,動物にセレンの過剰害を引き起こす地域と欠乏症を引き起こす地域が併存しています。このようにセレンははじめ,富セレン土壌-セレン集積植物という特殊な生態系を介して家畜の毒物として登場しましたが,その後セレンは家畜やヒトの微量必須元素という地位を獲得しました。まさに”毒は薬(あるいは薬は毒)”の諺の通りであり,セレン摂取量の多少が問題でありました。
これに対して一般の農耕地では,作物そのものにセレンの欠乏や過剰による障害は知られていません。植物とセレンの関係が家畜に対する影響を通じて注目されるようになったのは,モリブデンの場合と似ていますが,セレンの場合は植物と動物との許容量の差異だけでなく,セレンを異常に蓄積する植物の存在が問題を大きくしました。そして集積植物への実際的な関心や,生理生化学的な面からの興味がもたれるきっかけになりました。
土壌に起因する家畜の疾病(風土病)が主に欧米で明らかにされていった背景には,わが国と異なり耕地にまさる大面積を占める草地に家畜の放牧が行われてきた歴史があると思われます。これらの家畜は放牧された土地に生えている草で養われることが多いので,土壌の影響を受けやすくなります。「土は草を養い,草は家畜を養い,家畜は人を養う」という西洋の諺も,このような事情から生まれたものでしょう。
また草地は一般に耕地に不適当なところに拓かれるので「問題土壌」を含む場合が多く,いろいろな疾病を引き起こす原因になったと思われます。これに比べてわが国のように,土地と直結した家畜飼養の行われることが少なく,外国から輸入した飼料で肥育する場合の多いところでは,土壌との関係が見えにくくなります。
家畜におけると同様な問題は人間にも起こる可能性があります。たとえば辺境の農村などで閉鎖的な経済社会を構成しているところでは,地域単位で”土-作物-家畜-人”の物質循環が成立するので,問題土壌を抱えている場合にはそれに起因する風土病が起きやすくなります(中国の克山病,スコットランドの土食い症*4など)。
一方わが国などの先進工業諸国では,鉱山や工場からの廃水に含まれている有害元素の生活環境への流入による被害があります(カドミウムによるイタイタイ病,水銀による水俣病など)。下水道の普及による下水汚泥の農地還元も,その中に含まれている微量有害元素の影響が問題になる可能性があります。さらに今後も続く世界人口の増加に対処するためには,土地生産性の向上とともに農地の拡大も必要ですが、残された土壌には「問題土壌」が多い悩みがあります。
*1 1782年ミューラー(Muller,ドイツ)がビスマス鉱から発見し,1789年クラプロート(Klaproth,ドイツ)はこれが新元素であることを確証し,ローマ神話の大地の女神で地球をも意味するTellusに因んでテルルと命名した。クラプロートは10年前にウランを発見し,これをその数年前に発見された新星Uranus(天王星)に因んで名付けたことに対応して,地の神の名を与えたのである。
*2 Keshan Disease;発生地の黒竜江省克山県に因む。
*3 グルタチオンペロオキシダーゼは,グルタチオンの存在下で有機過酸化物を分解する作用があり,赤血球や各種臓器に分布し,有機過酸化物による生体膜の損傷を防ぐ役割をしている。
*4 スコットランドのコバルト欠乏地帯に生活している子供達には”geophagia(土食症)” という風土病がみられ,コバルトの経口投与が有効であることが報告されている。
静岡県柑橘試験場伊豆分場
分場長 杉山 和美
ウンシュウミカンは,消費者嗜好の多様化の中で,国内生産年間100万トン以上を維持しているが,ますますの高品質化とともに,安定生産との両立を求められている。筆者のいる静岡県は,栽培面積・生産量(シェアー12%)共に全国第3位を続けているが,近年の産出額(粗生産額)は約200億円で1~2位である。
品種では,早生を除く普通温州の中でも,出荷時期が12月末から3月と遅いほうの「青島温州」が主体であり,約6割を占めている。「青島温州」は,昭和40年に奨励品種として認められ,過剰生産による価格暴落を経て,昭和50年代より盛んに改植が進んだ。「青島温州」が増えてくると,それ以前に主力であった「杉山温州」などと比べて,隔年結果性が強いことが各産地から問題として起こってきた。
現場の摘果推進とともに,静岡県柑橘試験場(以下,静岡柑橘試と略)は,摘果法の試験などについで,樹体栄養面から高品質果の安定生産が試験研究の課題としてあがってきた。「青島温州」等いわゆる高糖系ウンシュウでは,果実の糖集積能が高く,貯蔵栄養(デンプン等)を低くしてしまう可能性がある。そこで,注目されたものが,糖として果実の食味を決定し,デンプンとして蓄えられ翌年の果実生産に大きく影響を及ぼす炭水化物だった。
生産サイドからは,翌年度の生産対策を正月休み明けから検討するため,樹体栄養とくにデンプン分析を役立てたいとする要請があり,試験研究も要請に応じて11~12月の試料採取と1月判定の日程を可能にしてきた。
非破壊選果機が導入され,糖度が12以上の高品質果実が求められるようになっても,着果数が安定しないと,着果数の少ないときの大玉果や,多いときの低糖果のように,商品として評価されない果実の生産につながる。シートマルチ栽培等による水分ストレスも着花・着果を不安定にする原因になっている。よって,デンプン診断による着花量の予測は,高品質果を安定的に生産する前提としても,重要である。
古くは,C/N率により,次の着花程度が分かるという説が有力だったことがあった。他方,イスラエルのGoldschmidt(1982)は,隔年結果性が強いウィルキング・マンダリンを用いて,表年と裏年の樹体各部分の栄養分を分析した。その結果,裏年だった根にデンプンが多量に蓄えられ,表年だった根にはデンプンが少ないことを見つけていた。
昭和59年から4年の研究期間中,静岡柑橘試では,「青島温州」1年生の苗木(杉山ら,1992)及び7年生の幼木(杉山ら,1999)を用いて,全摘果など人為的に隔年結果の状態を作り出し,冬季に樹体を解体して部分ごとに糖類とデンプン量を含有率で表し,表年の樹の根の表皮部分に多くのデンプンが蓄えられることを見出した。さらにその含有率の多少が,翌春の着花量の多少として現れるこも確かめた。
同じころ,16年生「青島温州」で岡田(2004)は,太さ約5mmの根中デンプン含有率の11月または2月の測定により,翌年の着花との相関が高いことを示した。
前述の1984(昭和59)年から継続された研究の中で,デンプン分析法としてグルコアミラーゼ主体の酵素法で抽出し,ソモギネルソン法で定量する方法(図1左)を用いれば,遮光・全摘果等の処理を反映する「機能性炭水化物」としてのデンプンの厳密な定量に有効であることが示された(杉山ら,1992)。
その後も試験研究と現場への応用が試みられ,冬季の根中デンプン含有率は,当年の着果負担を反映し,次年度の着花数との関係が深いことを示した(大城ら,2000)。さらに,簡易迅速測定法として「デンプン比色法」(図1右)が,上記の酵素法と相関が高く,同一時間で約9倍の試料数を処理できることから,生産現場での分析に適していることが示された(杉山・大城,2001)。

前述のように冬季の根にデンプンが蓄積されることは分かっていたが,葉にも耐寒性を高めるため糖の含有率が高まる傾向も認められ,充実した1年生の枝(多くは春枝)に花芽が分化するため,いつのどの部分が診断に適するか検討した。
まず,場内の9年生’青島温州’ を用い,2000年11月から翌年3月まで,春枝とその枝の中位葉,径5mm程度の根を採取して,デンプン比色法によりデンプン量を定量し,翌年5月の着花状況を葉花比(1花当たりの葉数)で表し,両者の関係を求めた。
横軸にデンプン含有率縦軸に葉花比をとった図2~4がそれぞれ根・枝・葉のデンプン含有率と翌年の着花との関係を示している。同様に,上記の期間の3部位について,デンプン含有率の分布範囲,近似式と寄与率(R2)を示した(表1)。

デンプン含有率は1月以降各部位共に増加し数値の幅も広がったが,寄与率は極めて低くなり関係は薄く,診断には不適であった。
寄与率は,12月の葉・11月の根・12月の根の順に高かった(表1)(11月の葉が欠測)。ただし,同年次の現地(旧清水市内)の調査では,12月の根中デンプン含有率のほうが,同月の葉のものよりも寄与率が高かった(杉山ら,2003)等,根中デンプンのほうが安定していた。また,診断するためには,12月の葉の分布範囲は狭く診断基準が設定しにくいのに対し,11・12月の根では分布範囲も比較的広く,判定に適すると思われた(図2~4)。



施肥量との関係では,年間1樹当たり窒素160g(10a当たり換算25kg)基準に半量と2倍量の範囲では,デンプン含有率と翌年の着花との関係で,明瞭な遠いは認められなかった(図5)。この範囲では,施用した肥料の多少によらず,診断基準を設定できることを示している。ただし,「施肥量が不足または過剰でもよい」ということではないので注意されたい。

現地(旧清水市内の第3紀および洪積土壌)9園地において,12月の根中
デンプン含有率と翌年5月の葉花比の関係をみた。樹齢10~14年生,15~20
年生,21~25年生の3段階にグループ分けした。
すると,樹齢10~14年生の比較的若木では,同程度のデンプン含有率でも
葉花比が高い(着花数が少ない)傾向を示した(図6)。これは,若木では栄養生長の方に炭水化物が分配されやすい傾向を示しており,着花数の増加に結びつかないと考えられた。また,マルチ栽培と裸地(普通)栽培とを比較すると,マルチ栽培ではデンプン含有率が概ね高くなるが,葉花比は低く(着花数は多く)はならない傾向を示すこともうかがえた(図7)。


静岡相橘試は,JA静岡経済連と共同して,県内産地から20園地を選び,葉
分析等の栄養診断をおこなってきた。根中デンプンの分析は平成2年産から開始され,前述のように,この診断法開発により11月下旬~12月上旬の適期採取とすばやい分析ができて,1月上旬JA技術員役員会議で発表することが可能になった。
2002年1月から5点法(5極めて多い~0極めて少ない)による着花予測もおこなって,翌年の果実生産の基礎となる着花状況に応じた対策をいち早く開始できるようになった(図8)。

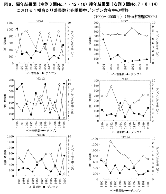
この栄養診断の過程で,隔年結果を起こしやすい園と連年結果傾向の強い園とで,冬季根中デンプン含有率の推移が異なることが分かった。すなわち,連年結果園では低めの含有率(1~4%)を維持しており,10%前後の高い含有率を示すことはなかった(図9)(静岡柑橘試編,2002)。したがって,11~12月の根中デンプン含有率の適正範囲を1~4%に設定した。

この診断法は,現在静岡柑橘試研究技監の久田秀彦氏から昭和59年に始まり,前場長で栽培研究の岡田正道氏と栄養研究室の歴代在籍者に引き継がれて開発が進んだ。その皆様のおかげがなければこの稿は書けなかった。その過程で,筆者は農水省補助事業を受けた2時期に参加することができ,主査県としての取りまとめとともに,農水省・独立行政法人や他県の専門家のご意見も聞くことができた。現地調査関係でお世話になった生産者団体の方々も含め,皆様に御礼申し上げたい。
現在も,独立行政法人中国四国農業研究センターの地域総合確立研究の一環として,近赤外線によるデンプン簡易分析法の開発が進められている。静岡経済連との現地園地の診断は,一時中断しているが,このように診断の簡易化がさらに進めば,具体的な目標を定めて再開することも考え
られる。
また,産地では,診断園地を増やして,栽培指針を徹底させるためにも使える。
診断による対策としては,主に摘果とせん定であって,多数の着花が予想される年が,対策の年となり,少ない着花しか予想されない年には,効果的な対策はとりにくい。
より長期的に見れば適正な施肥が重要である。
少ない施肥が生産性を低下させるのはもちろんだが,過多な施肥も根を傷め,土壌を酸性化してマンガン過剰を誘発し,落葉を増やして生産性も
低下する。静岡経済連との現地診断は,この点を是正するために役立ってきた。

●Goldschmidt,E.E. 1982
The carbohydrate balance of altemate-bearing citrus trees and the significance of reserves for flowering and fruiting. J.Amer.Soc. Hort. Sci.107:206-208
●岡田正道.2004
ウンシュウミカンの生産性予測要因としての樹体養分の有効性.園学雑.73:163-170
●大城晃・杉山泰之・片山春喜・河村精.2000
ウンシュウミカンにおける冬季根中デンプンによる樹体栄養診断の開発.土肥誌71:259-262
●静岡柑橘試編.2002
柑橘高品質安定生産モデル園調査成績書.静岡経済連
●杉山和美・浜崎櫻・杉山泰之・鈴木晴夫.2003
施肥量を変えた’青島温州’の冬季デンプン量と翌年の着花量との関係.園学雑.72(別1):439
●杉山和美・久田秀彦・岡田長久・鈴木晴夫.1992
ウンシュウミカンの隔年結果と貯蔵養分に関する研究.第1報.静岡柑橘試研報24
●杉山和美・久田秀彦・岡田長久・鈴木晴夫.1999
ウンシュウミカンの隔年結果と貯蔵養分に関する研究.第2報.静岡相橘試研報28
●杉山泰之・大城晃.2001
ウンシュウミカンの栄養診断のためのヨウ素比色法によるデンプン簡易測定法.土肥誌72:81-84
<1月号>
§変革の時代における肥料の役割
チッソ旭肥料株式会社
常務取締役 浜園 佳文
§復田時の水稲不耕起・無代かき栽培における育苗箱全量施肥
秋田県農業試験場 大潟農場
研究員 進藤 勇人
§旧加賀藩政時代の虫塚から学ぶこと(続編・その2)
石川県農業総合研究センター
資源加工研究部 生物資源グループ
専門研究員 森川 千春
§茶園におけるポーラス肥料の寒肥・春肥・芽出し肥としての施用効果
チッソ旭肥料(株) 富士営業所
技術顧問 岩橋 光育
<2月号>
§浮き苗と鳥害を防ぐ鉄コーティング湛水直播
近畿中国四国農業研究センター
地域基盤研究部 土壌水質研究室
室長 山内 稔
§旧加賀藩政時代の虫塚から学ぶこと(続編・その3)
石川県農業総合研究センター
資源加工研究部 生物資源グループ
専門研究員 森川 千春
<3月号>
§北海道における施肥(1)
(財)北農会
会長 関矢 信一郎
§水生作物:(5)
深水(池沼)栽培作物
ジザニア・水生植物研究会
会長 三枝 正彦
<4月号>
§農耕地土壌の特性変動
農業環境技術研究所
化学環境部 土壌分類研究室
室長 中井 信
§長年の田畑輪換や畑転換による地力窒素の消耗
東北農業研究センター
水田土壌管理研究室
室長 加藤 直人
<5月号>
§北海道における施肥(2)
-大正期-
(財)北農会
会長 関矢 信一郎
§「あまおう専用肥料」による生産改善
福岡県農政部農業技術課
専門技術指導員 重松 秀行
<6月号>
§キュウリハウス抑制栽培の育苗ポット全量基肥栽培
長野県南信農業試験場 栽培部
研究員 木下 義明
§北海道における施肥(3)
-昭和期-
(財)北農会
会長 関矢 信一郎
§のり面緑化工の変遷について[1]
-のり面緑化と肥料設計-
エコサイクル総合研究所
中野緑化工技術研究所
中野 裕司
<7・8月合併号>
§北海道における施肥(4)
-昭和中期-
(財)北農会
会長 関矢 信一郎
§水生作物:(6)
清流の恵み,ワサビ
ジザニア・水生植物研究会
会長 三枝正彦
<9月号>
§北海道における施肥(5)
昭和後期-多肥の時代
(財)北農会
会長 関矢 信一郎
§ダイコンの1粒播種栽培技術の検討
石川県砂丘地農業試験場
専門研究員 福岡 信之
§のり面緑化工の変遷について[2]
-のり面緑化工の目的・目標と組み立て-
エコサイクル総合研究所
中野緑化工技術研究所
中野 裕司
<10月号>
§微量元素よもやま話[1]
ホウ素
京都大学名誉教授
高橋 英一
§北海道における施肥(6)
平成-適正化ヘ
(財)北農会
会長 関矢 信一郎
§のり面緑化工の変遷について[3]
-のり面緑化工と導入植物の変遷-
エコサイクル総合研究所
中野緑化工技術研究所
中野 裕司
<11月号>
§微量元素よもやま話[2]
モリブデン
京都大学名誉教授
高橋 英一
§被覆肥料を用いた施肥量削減茶園における収量・荒茶成分の推移
静岡県茶業試験場富士分場
小杉 由紀夫
§Vポーラスを利用した茶園での寒肥樹冠上施用の効果
チッソ旭肥料(株) 富士営業所
技術顧問 岩橋 光育
<12月号>
§微量元素よもやま話[3]
セレン
京都大学名誉教授
高橋 英一
§ミカン根中デンプン含有率に基づく次年着花量の予測
静岡県柑橘試験場伊豆分場
分場長 杉山 和美
§2006年本誌既刊総目次