農業と科学 平成20年9-10月
本号の内容
§冬期湛水した休耕田の硝酸性窒素除去能力を評価する
静岡県農林技術研究所 生産環境部
指定試験主任 高橋 智紀
§ハイパーCDU利用による施設軟弱野菜の合理的施肥技術
大阪府環境農林水産総合研究所
主任研究員 内山 知二
§キュウリにおけるロング肥料を用いた植穴施肥栽培
宮崎県西諸県農業改良普及センター
川﨑 佳栄
宮崎県総合農業試験場
西原 基樹
横山 明敏
静岡県農林技術研究所 生産環境部
指定試験主任 高橋 智紀
静岡県内の茶園が集中する地域においては硝酸性窒素による地下水への環境負荷が顕在化し,その対策として施肥量削減の取り組みが進められている1)。その結果,茶園台地上から流出する小河川の硝酸性窒素濃度は徐々に低下傾向を示しているが,小河川の多くは依然として10mgN/Lを超えている2)。このように過去の施肥に由来した硝酸性窒素の流出は今後も継続することが予想される。
台地から流出する硝酸性窒素を含む水の浄化方策として,茶園-水田と続く地形・地目連鎖系(写真)を利用し,水田の窒素除去能力を積極的に用いることが提唱されている3)。水田の窒素除去能力は水田土壌中の微生物による脱窒反応が主体を担っており,温度に応じて0.5~1.0gN/㎡/d程度の除去能力があると見積もられている。しかしながら,慣行の栽培体系では窒素除去が期待できるのは水田が湛水される作付け期間だけである。窒素除去を可能な限り進めるには冬期湛水を含む通年掛け流し灌漑を行うことが有効だと思われるが,低温期の窒素除去の実態に関する知見は少ない4)。
そこで,通年掛け流し灌漑での休耕田の窒素除去能を測定した。さらに,上記体系に対応できる田面水の窒素濃度低減モデルを作成し,通年湛水かけ流し灌漑の窒素除去能を評価した。

静岡県中西部に位置する牧ノ原台地直下の50㎡の休耕田を裸地管理とし,硝酸性窒素を含む茶園からの湧水を掛け流し灌漑した(図1)。流出入水の流量および硝酸性窒素濃度を7日に一度の頻度で測定した。また,深さ10~15cmの降下浸透水をポーラスカップによって採取し,同様に硝酸性窒素濃度を測定した。実験の詳細は新良ら3)のとおりである。

1997~2005年の試験期間中流入水の硝酸性窒素濃度は20~25mgN/Lで推移した(図2)。全窒素のほぼすべては硝酸性窒素であったため,以後単に窒素と表現することとする。水田から排出される水は田面から排水される表面流去水と土壌を浸透する降下浸透水に分けられるが,図2のように両者の濃度の年間変動の傾向は大きく異なった。すなわち表面流去水は夏期に濃度低下が著しいが,冬期には流入水の濃度とほぼ等しくなり,見かけ上窒素除去は認められなかった。これは低温により微生物活性が低下したためと考えられる。これに対して降下浸透水の窒素濃度は年間を通して低い値であり,冬期においても明確な減少傾向を示した。

両者の窒素濃度減少割合を田面水温との関係で示したものが図3である。表面流去水での窒素除去は温度への依存性が明瞭であり,5℃付近が窒素除去の閾値となっていた。一方,降下浸透水での窒素除去は見かけ上は温度への依存傾向が認められず,0~40℃の範囲で,平均95%の高い除去率を示した。

降下浸透水での窒素除去が温度に依存しないようにみえる理由は明らかではないが,冬期間は田面水温にくらべ地温が高いことに加え,長い滞留時間が冬期の脱窒活性が低い時期においても窒素除去に十分な時間を与えていることが考えられる。用いた実験系での流入量,貯水量および降下浸透速度から計算すると表面流去水が排水されるまでの期間は1.1日であるのに対し,降下浸透では深さ10cmまで排水されるまでの期間は17日だった。
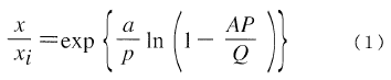
以上のように窒素除去の温度依存性は表面流去と降下浸透で大きく異なる。このため,冬期湛水を含む通年灌漑を行う場合の窒素除去量を評価する際にはこれらの2つのルートを通る水および窒素量を個別に見積もる必要がある。窒素除去量の推定モデルとしては田淵らのモデル5)が広く知られているが,このモデルでは降下浸透水が考慮されておらず,すべての流入水が表面流去すると仮定されている。そこで降下浸透水に係る水収支を考慮するように田淵式を拡張すると以下の式が得られる。

ただし,Q,Xi,X,A,P,aはそれぞれ流入水量(m3/d),流入水の硝酸性窒素濃度(mgN/L),表面流去水の硝酸性窒素濃度(mgN/L),水田面積(㎡),降下浸透水速度(m/d),窒素除去係数(d/m)である。ここで、は降下浸透水の速度は対象水田のすべての地点において一様であると仮定されている。また,降水や蒸発散による水収支は考慮していない。式(1)から田面水の平均窒素濃度Xaveは以下の式で与えられる。田面水の平均窒素濃度に降下浸透水量をかけたものが田面から降下浸透する窒素量となる。

式(1),(2)だけでは残念ながら降下浸透過程での硝酸性窒素濃度の推移を予測することはできない。つまり現段階においては降下浸透による表面流去水量の減少が表面流去水中の硝酸性窒素濃度に及ぼす影響を予測するだけのモデルにとどまっている。また除去係数は土壌条件等によって変わることが予想される係数である。我々は上述した現地の休耕田から窒素除去係数と温度の関係を以下のように得ている。

Tは水温(℃)を示す。
このように得られた式(1)は実際の水田における表面流去水の硝酸性窒素濃度の減少傾向をよく表現できる(図4)。AICを用いた評価では降下浸透水を考慮しない場合に比べ,式の予測能力が有意に高まることが確かめられている。

得られた式を用いて冬期湛水を含む通年掛け流し灌漑が小河川の窒素除去にどの程度の寄与があるかを試算した。試算には新良ら4)によって報告されている調査地域の水質および水量データを用いた。当該調査地域は980haの台地上に540haの茶園が集中している。台地状の降水は21の小河川によって隣接した平野部に運ばれる。平野部は11の流域に区分され130haの水田が存在している。試算には2001~2005年の月単位の各流域の平均水量および硝酸性窒素濃度を,水温には2章で述べた同期間の休耕田田面水温の月単位の平均値を用いた。また,降下浸透水として5および10mm/dを想定した。
図5のように水田に流入する全窒素量は夏期に多く冬期に減少する傾向がある。これは,窒素濃度には周年でほとんど変化がなく,河川流量は夏期に多いことによる。

降下浸透する窒素量は年間で安定しており,5mm/d,10mm/dの降下浸透速度を仮定した場合それぞれ,全窒素量の17,26%を占める(表1)。

先に述べたように式(1)は降下浸透水の窒素除去量を予測できないが,降下浸透水中の硝酸性窒素濃度は年間を通じて大幅に低下するため(図2),降下浸透する窒素の大部分が除去できると予想される。一方,表面流去水での窒素除去は水温が高い夏期には大きな値となるが,1月の最低温期には窒素除去量がほとんどゼロとなる(図5)。換言すれば冬期間の窒素除去は降下浸透に依存するといえる。
慣行の栽培体系として5~7月にのみ湛水を行うケースを想定し,窒素除去量の比較を行った(表1)。試算では図3の結果をもとに降下浸透水中での窒素除去率を95%と仮定した。この地域では慣行の水稲栽培を行うと28Mg/年の窒素が水田に誘導されるが,通年湛水を行うことで,誘導する窒素量を120Mg/年とすることができる。これによって表面流去過程および降下浸透の両者とも窒素除去量は慣行より16~18Mg/年増加すると試算される。この結果,年間の窒素除去量の合計量は慣行にくらべ33~40Mg/年の増となる。このように冬期湛水による灌漑期間の拡大は地域の水質改善に極めて効果的に機能するという試算結果が得られた。
以上のように,降下浸透と表面流去では窒素濃度減少の温度依存性が大きく異なる。そこで表面流去水と降下浸透水の水収支を分離することで,表面流去の窒素濃度の予測精度を高めた数式を提案した。また,提案式を元に冬期湛水における経路別の窒素収支と窒素除去量の推定を行い,通年掛け流し灌漑の有効性を検討した。冬期湛水は生物多様性等の観点から近年注目を集めている6)が水質浄化の視点から冬期湛水にアプローチした研究事例は少ない。この技術をどのような形で普及可能なものとするか,という点は今後の大きな課題である。
本研究内容は1999~2005年の期間『農林水産省指定試験事業環境負荷物質の動態解明』で行われたもの7)を中心にまとめたものである。
1)野中邦彦:茶園における施肥基準の推移と今後の展開方向,
農業技術,59,311-315(2004)
2)廣野祐平・渡部育夫・野中邦彦:
集団茶園地域の周辺水系に見られる硝酸性窒素濃度の変化,
共通基盤研究成果情報,(2006)
http://www.naro.affrc.go.jp/top/seika/2006/vegetea/ve06019.html
3)新良力也・渥美和彦・宮地直道:
静岡県牧ノ原台地の茶園地帯における硝酸性窒素の流出量と水田による除去可能性,
土肥誌,76,901-904(2005)
4)新良力也・渥美和彦:硝酸性窒素濃度の灌漑水を通年湛水下水田の冬期における窒素除去能,
土肥誌,78,299-302(2007)
5)田淵俊雄・志村もと子・尾野充彦:
休耕回における窒素除去試験の結果と実用性の検討,
農土誌,64,345-350(1996)
6)鷲谷いづみ:地域と環境が蘇る水田再生,
家の光協会(2006)
7)高橋智紀・新良力也・前田守弘・杉浦秀治・渥美和彦・宮地直道:
冬期掛け流し灌漑を行う場合の水田の硝酸性窒素除去能力の推定式,
共通基盤研究成果情報,(2005)
http://www.affrc.go.jp/ja/research/seika/data_common/h17/kan05056
大阪府環境農林水産総合研究所
主任研究員 内山 知二
固定式のハウスで軟弱野菜を連作すると肥料成分が蓄積して高塩類化が進行する傾向がある。その対策として,比較的塩類の少ない下層土との混和を目的とした深耕,暗渠を併用した湛水除塩,排土・客土といった土壌改良の手法が示されている。しかし,これらの対策は系外の汚染を伴ったり,過大な労力が必要である等の問題点がある。また,周年栽培では一定期間の休作を余儀なくされる上記のような土壌改良作業を組み入れることに抵抗感がある。そこで,高塩類化した施設栽培土壌の施肥に肥効調節型肥料を導入した場合の効果を検討することにした。
肥効調節型肥料としては樹脂コーティングしたものが広く知られているが,周年栽培に適応する場合,低温期の肥効を考慮して温度依存性が低い特徴を有する改良型のCDU(以下ハイパーCDU)を用いることにした。
従来からあった緩効性窒素肥料であるCDUとハイパーCDUの大きな違いは,造粒過程で肥料粒そのものの溶解を抑制する材とCDUの分解を促進する材を適切に配合することで,目的とする肥効パターンを得るように設計されている点である(図1)。これによって,樹脂コーテイングほどの強い温度依存をしない特性を持った肥効調節を実現している。

高塩類土壌におけるハイパーCDUの特徴を明らかにするため,未耕の低塩類土壌(以下,低塩類土)と果菜類を連作した高塩類土壌(以下,高塩類土)を用いて比較試験を行った。試験は植害試験に用いられる1/10000aの有底ポットに2種の土壌を入れ,肥料はハイパーCDUの短期型(以下,S-CDU)と長期型(以下,L-CDU)に加えて尿素を供試した。供試土壌の理化学性を表1に,試験区の構成を表2に示した。調査は,コマツナ種子の播種後3,5,7日目の発芽率,7,14,21日目の株径,21日目の葉色,最大葉長,地上部新鮮重,同乾物重について行った。



いずれの試験区においても発芽は順調で,播種後3日目には,ほぼ100%が発芽した。コマツナの株径は,図2に示したように,高塩類土では,肥料を添加していない対照区において生育が優れたのに対し,尿素を添加した区で劣った。また,低塩類土では,対照区でほとんど生育しなかったのに対し,ハイパーCDUを添加した二つの試験区は尿素より優れていた(写真)。


播種後21日目の収量調査時の乾物重では,高塩類土で分解の遅いL-CDUがわずかに重くなった。低塩類土では,比較的分解の早いS-CDUが重くなった(図3)。

試験は,場内の塩類集積した固定式ハウスで実施した。供試作物は株張りのシュンギクで,5,7,9,1月に収穫する4作とした。耕種概要を表4に示す。

試験区としては,ハイパーCDUの短期型を用いる区と長期型を用いる区と棉実油粕を施与した区(以下,対照区)の3試験区を設定した(表5)。なお,両CDUの施肥量は,窒素換算で棉実油粕の20%減に設定した。さらにL-CDUは,施肥労力の低減を意図して1,3作時に2回分を合わせて施与した。

シュンギクの調査は,収穫時に収量等について行い,土壌分析は,作付けごとに電気伝導度,硝酸態窒素を測定した。
4作を行ったシュンギクの収量調査結果を表6に示す。L-CDU区では,施与直後に相当する1,3作目よりも2,4作目で収量が多くなる傾向があり,両CDU区は低温期でも肥効が期待できた。栽培期間中の電気伝導度は,0.8mS/cm前後で推移し,塩類が蓄積する傾向は見られなかった。また,土壌の硝酸態窒素濃度は,20mg/100g前後で推移し,常時S-CDU区において対照区より低かった。

低塩類土を用いたポット試験の結果から,開発農地のような未熟な土壌においてもハイパーCDUは安定した効果が期待できることが明らかになった。また,高塩類化した土壌で新しいCDU肥料の活用場面があることを示した。
ほ場試験では,高塩類化したほ場でハイパーCDUを利用することで棉実油粕より窒素成分で20%減肥しても同等または,それ以上の収量が得られた。また,長期型のハイパーCDUを利用することで,施肥労力の軽減が可能になることを示した。
環境保全型農業の推進にあたって,肥培管理面では肥効調節型肥料に対する大きな需要があるとともに要望も多い。特に重要なことは,低温期に安定した窒素,リン酸,カリという3要素成分の肥効を期待できる製品開発が求められていることである。こういった指向は,有機質肥料の改良では解決が困難と考えられ,むしろハイパーCDUの開発過程における経験が生かされるものと期待される。
宮崎県西諸県農業改良普及センター
川﨑 佳栄
宮崎県総合農業試験場
西原 基樹
横山 明敏
宮崎県は全国有数のキュウリの産地であるが,経費削減や省力化が経営安定のために重要な課題となっている。そこで,施設内での肥料の散布作業を軽減するため,ロング肥料を用いた全量基肥施肥(一発施肥)による省力施肥法について検討することにした。一方,本県では,施設圃場の土壌消毒法として「宮崎型改良陽熱消毒」を推進しているが,通常の太陽熱消毒法と異なり,改良型陽熱消毒では,基肥施用,耕転,作畦後に消毒を行うため,消毒後の土壌の攪乱が少ないことから消毒効果が高いとされている。しかし,この土壌消毒法では,基肥施用後に約40℃以上の湿熱がかかるため,ロング肥料のように窒素の溶出が温度に依存する肥料は用いることが出来ない。このため土壌消毒後に,しかも土壌の移動が少ない施肥法として植穴施肥法が有効と考えた。このことから,基肥施用以外の手順は改良型陽熱消毒で行い,消毒後にロング肥料を用いた植穴施肥がキュウリの栽培において可能であるかについて検討した。
植穴施肥の概念を模式図で示した(図1)。従来の施肥体系では全面全層施肥を行うが,植物の根が届かない場所に施された肥料は,利用されることなく,土壌中に残存,もしくは,降雨やかん水により地下に流亡する。それらを改善し施肥効率を向上させる施肥法として色々な施肥があるが,植穴施肥の場合,肥料が株元にあるため最も効率よく吸収できると考えられること,また,キュウリの定植の際には植穴を掘るため,労力面からみてもよいと考えられた。

穂木にキュウリ(アルファー節成),台木にカボチャ(ニュースーパー雲竜)を用いた断根片葉挿し接ぎ法による接木苗を,セルトレイ用培土に挿して養生し,本葉が2~3枚に揃った時点で定植した。試験は,宮崎県総合農業試験場(宮崎市佐土原町)の細粒灰色低地土の硬質プラスチックハウス内で行い,9月下旬に定植し,翌年の1月下旬あるいは2月上旬まで栽培した。その間,摘心栽培を行い,摘葉や脇芽を止める作業を随時行った。
4カ年間試験を行い,表1のような区を設けた。対照区として基肥および追肥を化成肥料で行う①区を設け,試験区として溶出日数の異なるロング肥料(14-12-14)の組み合わせと,標肥区とともに3割および5割減肥区を設けた。また,植穴に肥料を入れるだけの区と,植穴施肥後に土壌と混和する区を設けた。施肥量は,対照区および標肥区は抑制キュウリの県基準施肥量(基肥にはN30kg/10a,追肥にはN15kg/10a)とし,3割減肥区はN31.5kg/10a,5割減肥区はN22.5kg/10aとした。更に,全区に牛ふん堆肥4t/10a,苦土石灰160kg/10aを施用した。

定植する際に掘った直径約12cm,深さ約15cmの穴に,栽培期間中に利用する全ての窒素45kg/10a(標肥区)に相当する量のロング肥料を入れ,土壌を少しかぶせ,その上に苗を定植した(図2)。

1株に施用する具体的なロング肥料の量は,10a当たり1,298本の植え付けの場合,標肥区で247.5g,3割減肥で173.3g,5割減肥で123.8gであった。土壌混和区では,肥料を入れた後に土壌と混和し,その上に苗を定植した。
対照区の追肥は,定植の約1ヶ月後から行い,窒素成分で10a当たり2.5kgずつを約2週間間隔で6回行った。
栽培期間中に摘葉した葉(葉身と葉柄),脇芽および収穫した果実は,分析試料とした。また,栽培初期,中期,栽培終了時には植物体を抜き取り,主茎,側枝,葉身,葉柄の別に区分し,分析試料とした。栽培終了時には植物体の草丈,節数,側枝数を調査した。
ロング肥料は2gをネットの袋に入れ,栽培の途中で適宜抜き取り,105℃で5時間乾燥し,重量を測定し,肥料中に残存している硝酸態窒素,リン酸および加里を分析した。土壌混和の場合は,土壌がこぼれ落ちないように不織布の袋に入れた。また,植穴に入れていた肥料が実際にどれだけ溶出したかを確かめるため,栽培終了時にロング肥料を株元から採取し分析を行った。
ハウス抑制キュウリにおいて,1年目に100日溶出タイプのロング肥料の植穴施肥を行ったところ,5割減肥しても対照比98と,対照区と同等の収量を得ることが出来た。しかし,栽培終了時(121日経過後)でも,窒素55.3%,リン酸18.8%,加里44.7%とそれぞれの溶出率が著しく低いことが明らかとなった。そのため,2年目には,最適な肥料タイプと3割減肥について検討した。その結果,70日3割減肥区で対照比99,100日3割減肥区で101,40・100日混合3割減肥区で101と,いずれの区も対照区とほぼ同等の収量をあげることができた。栽培終了時(129日経過後)の肥料の溶出率は,70日溶出タイプでは窒素92.9%,リン酸57.0%,加里79.7%であったが,100日溶出タイプでは窒素66.0%,リン酸
28.6%,加里49.9%であった。このことから,抑制キュウリ栽培には70日溶出タイプが適し,3割以上の減肥が可能と考えられた。
これまでの結果を受け,3年目には,最適な肥料タイプと3割減肥について再度検討するとともに,肥料の溶出率を高める目的で肥料に土壌を混和する施用方法について検討した。
総収量および上物収量は,70日3割減肥土壌混和区>70日3割減肥区>対照区,100日3割減肥区の順であり,植穴施肥で3割減肥した場合でも対照区と同等以上の収量をあげることができた。更に,土壌混和区では,対照区に比べ2割以上増収した。
葉柄の硝酸態窒素含有率,植物体の全窒素,リン酸および加里吸収量は,70日土壌混和区で高く,100日区で低かった。
栽培終了時(119日目)の埋設試験によるロング肥料の溶出率は,70日溶出タイプでは,窒素87.6%,リン酸48.1%,加里79.9%であったが,実際に植穴施肥した肥料の溶出率は,窒素で80.1%であった。100日溶出タイプでは,窒素74.0%,リン酸35.2%,加里60.6%であったが,植穴施肥した肥料の溶出率は,窒素で64.6%しか溶出していなかった。70日溶出タイプの肥料を土壌混和した場合では,窒素86.7%,リン酸51.4%,加里81.3%で,植穴施肥した肥料の溶出率は,窒素で84.6%溶出していた。これらのことから,土壌混和することにより植穴施肥した肥料の溶出率は高まることがわかった。また,埋設法と栽培圃場での溶出率は,土壌混和していない場合には10%近い差が認められたのに対し,土壌混和した場合には大差なかった。
埋設したロング肥料の重量を105℃で約5時間乾熱した後に秤量すると,窒素の溶出率との間はr2=0.98(y=1.34x+3.5)の高い正の相関が見られ,ロング肥料の乾熱重量を秤量することで簡易に窒素の溶出率を推測することが可能であった。
窒素施肥量は表1のように対照(①)区では45kg/10a,植穴施肥(④・⑤・⑦)区では31.5kg/10a,これに対してそれぞれの区の植物体の窒素吸収量は,対照区では17.9kg/10a,70日区では16.7kg/10a,100日区では16.5kg/10a,70日土壌混和区では21.9kg/10aであった。単純に施肥量に対する吸収量の比をとってみると,対照区では39.8%,70日区では53.0%,100日区では52.4%,70日土壌混和区では69.5%であった。このように対照に比べ植穴施肥では施肥効率が高まり,土壌混和処理を行うことで肥効率が更に向上することが明らかとなった。
以上のように,100日溶出タイプでは溶出率が低く,栽培を終了しても肥料成分が残存する割合が高いため,70日溶出タイプの方が適していると考えられた。また,土壌混和することにより作業が1行程増えるものの窒素溶出率が高まり,吸収量および収量が増加し,肥料を最も効率的に利用できているため,土壌混和法が適していると考えられた。
施肥法としては土壌混和処理が優れていたため,4年目には全ての植穴施肥区で土壌混和を行い,最適な肥料タイプと減肥率について検討した。
栽培終了時の植穴施肥区の生体重は対照区よりやや重かった。総収量および上物収量は,全ての植穴施肥区において,対照区に比べ2割以上増収した(表2)。

植物体中の硝酸態窒素含有率は,栽培終了時を除く全ての植穴施肥区が対照区より高く推移した(図3)。全窒素含有率,リン酸および加里含有率においても,全ての植穴施肥区が対照区より高く推移した。

植物体の全窒素吸収量は,全ての植穴施肥区で対照区と同等以上であり,リン酸および加里吸収量は全ての植穴施肥区で対照区を大きく上回った(表3)。

栽培終了時(133日目)の埋設法によるロング肥料の窒素の溶出率は,40日溶出タイプは94.0%,70日溶出タイプは91.7%で90%を越えたが,100日溶出タイプは79.9%とやや低かった。リン酸,加里の溶出率も100日溶出タイプで低くなった(表4,図4)。


窒素施肥量は表1のように対照(①)区では45kg/10a,植穴施肥3割減肥(⑦・⑧・⑩)区では31.5kg/10a,5割減肥(⑨)区では22.5kg/10a,これに対してそれぞれの区の植物体の窒素吸収量は,対照区では19.5kg/10a,70日3割減肥区では21.0kg/10a,100日3割減肥区では21.6kg/10a,70日5割減肥区では21.4kg/10a,40・70日混合3割減肥区では19.5kg/10aであった(表3,図5)。

単純に施肥量に対する吸収量の比をとってみると,対照区では43.3%,70日3割減肥区では66.7%,100日3割減肥区では68.6%,70日5割減肥区では95.1%,40・70日混合3割減肥区では61.9%であった。このように対照に比べ植穴施肥では施肥効率が高まり,肥料の利用率は5割減肥では76.0%で,対照の33.8%の2倍以上となった。ロング肥料の溶出率から算出した溶出量と吸収量で考えると,70日5割減肥区では82.9%となり,更に利用率は高かった。
以上のことから,ロング肥料を植穴に施用する際に少量の土壌を混和することで成分の溶出率が高まり,施肥窒素を3~5割減肥しても,対照区に比べて2割以上増収することがわかった。また,100日溶出タイプでは溶出率が低く,栽培を終了しても肥料成分が残存する割合が高いため,肥料のタイプとしては70日溶出タイプの方が適していると考えられた。
ハウス抑制キュウリのロング肥料を用いた植穴施肥栽培は,3~5割減肥しても2割以上増収し,省力的な施肥法であり普及性は高いものと考えられる。但し,減肥率は圃場の肥沃度や作型等によっても異なるものと考えられる。
エコファーマー認定農家は,化学肥料低減を目的として,局所施肥技術や肥効調節型肥料の施用技術等に取り組まなければならないが, この点において植穴施肥は大変有効な手段であると同時に環境保全型農業技術としても有効である。
このロング肥料を用いた植穴施肥の手法は,肥料が効率的に吸収されるため,生育が促進され,収量の確保や品質向上を図ることができるとともに減肥栽培が可能となり,更に省力化技術であるため,キュウリの抑制栽培以外の作型や他の作物への応用も期待できる。