農業と科学 平成21年8月
本号の内容
§スダチの被覆肥料を用いた効率的施肥法
徳島県立農林水産総合技術支援センター
果樹研究所 生産環境担当
新居 美香
§切り花用ヒマワリの肥効調節型肥料を用いた簡易ポット栽培
神奈川県農業技術センター
花き観賞樹担当
主任研究員 栁下 良美
§猪苗代湖水環境保全への農業分野からの取組み
③水田からの水環境負荷物質の流出軽減技術
福島県農業総合センタ一 生産環境部
環境・作物栄養科
科長 三浦 吉則
徳島県立農林水産総合技術支援センター
果樹研究所 生産環境担当
新居 美香
徳島県特産の香酸カンキツ「スダチ」は,果皮の緑色とさわやかな酸味,清々しい香りが特徴である。徳島県では3月上旬から出荷される超加温栽培から冷蔵貯蔵果実のリレー出荷で,周年供給を行っている。
スダチの商品価値は,果実の大きさと果皮の緑色によって決まり,中でも貯蔵果実に関しては,緑色が濃いほど商品価値が高くなる。このため,果皮の緑色を濃くするために施肥量,特に窒素の施用量が多くなりがちであり,河川や地下水への肥料成分の流亡による環境への負荷が懸念されている。また,スダチ園の多くは,急傾斜地にあり,施肥作業が重労働となっている。そこで,施肥量自体の節減と省力化を図る目的で,被覆肥料を活用した施肥方法について検討したので,その概要を紹介する。
試験は,徳島県内のスダチの主要産地内の現地ほ場2カ所(名東郡佐那河内村:A園,名西郡神山町:B園)において,平成18年~平成20年の3年間実施した。試験規模はA園で4.0m×4.0m植えの貯蔵系スダチ23年生1区220㎡,B園は3.2m×3.2m植えの普通系スダチ(約30年生)1区250㎡とした。
年間施肥量については,生産者慣行を対照区としたため,両園地とも試験期間中に年間施肥量が年々減少する傾向が見られた。これは,肥料原料の価格高騰および秋季の高温による秋芽の発生を抑えるため,生産者が礼肥の施用を抑えたことなどが原因として挙げられる。
各肥料の窒素溶出速度について検討するために,直径30cm深さ30crnのプラスチックポットにマサ土を充填し,窒素成分量で20kg/10a相当の各肥料を表面に施用した(平成19年7月19日)。毎回10mm程度の降雨を想定して灌水を行い,土壌浸透水を採取した。
供試肥料は,被覆肥料(13-8-8)(春肥用),被覆肥料(16-10-10)(夏肥用),FTE入り有機配合肥料(13-6-11)(スダチ慣行肥料)である。


収量についてはB園のみの調査であったが,試験期間中の合計収量には,処理区間に差は見られなかった。しかし,被覆肥料区では年々増加傾向であったのに対し,対照区では年々減少する傾向であった(表2)。

また,収穫時期については,被覆肥料区で対照区よりも前進する傾向が見られた。
収穫時の果実品質については,被覆肥料区は対照区と比較して,緑色が濃く,果皮が厚く,果汁の糖度が上がる傾向が見られた。果汁歩合,クエン酸含量には処理区間で差は見られなかった(表3)。

A園では,平成18および19年については,鶏糞堆肥等の影響で,概ね高く推移したが,3年目については,対照区と同程度であった。また,平成18年9月中旬に対照区に投入された鶏糞堆肥は,冬期に大量の硝酸態窒素を土壌浸透水として流亡させているものと考えられた。また,平成20年5月にも鶏糞堆肥が同様に投入されているが, これによる土壌中の硝酸態窒素含量への影響は,ほとんど見られなかった。これは,鶏糞堆肥中の窒素成分が,夏期の高温・乾燥により大気中に放出されたのではないかと考えられた。
B園において,夏期については被覆肥料区上層部(0~5cm)で高かったが,下層部(5~15cm)では対照区と同程度であった。
また,いずれの園地でも被覆肥料区は施用後の降水量が少ない場合,土壌中の硝酸態窒素の上昇が抑えられる傾向が見られた(図1)。

両園地とも試験開始当初には処理区間に差は見られなかったが,H19,20年になると対照区でやや高くなる傾向が見られた(図2,3,4)。



両園地とも貯蔵性は処理区間差よりも作柄による違いが大きかったが,いずれの園地でも被覆肥料区の貯蔵果実は,対照区と比較すると果皮の緑色が濃く,黄変果が少ない傾向であった(表4)。

硝酸態窒素の溶出速度は,③FTE入り有機配合肥料(13-6-11)(農家慣行)>②被覆肥料(13-8-8)(春肥用)>①被覆肥料(16-10-10)(夏肥用)の順であった(図5)。

処理開始から34日後の窒素溶出率は,施用した窒素成分量を100とすると,①被覆肥料(16-10-10)(夏肥用)で20.9%,②被覆肥料(13-8-8)(春肥用)で41.6%,③FTE入り有機配合肥料(13-6-11)で51.1%であった。調査終了時点(処理開始後45日)での窒素溶出率は,①被覆肥料(16-10-10)(夏肥用)で28%,②被覆肥料(13-8-8)(春肥用)で51.2%,③FTE入り有機配合肥料(13-6-11)で55.2%であった。これは,①および②に含まれるエコロングの溶出期間が異なるため,②の窒素成分が34日日以降に急激に溶出したことが原因と考えられた。
また,③FTE入り有機配合肥料は,速効性があることが推察された。
これらのことから,河川や地下水汚染の原因となる環境負荷の大きい硝酸態窒素の溶出率は,①被覆肥料(16-10-10)(夏肥用)が最も低いことが示唆された。
慣行有機質配合肥料と比較すると,今回の試験に用いた新資材は,施肥回数が少なくなるため,労力軽減につながる。また,年間窒素施用量もスダチの年間窒素施用基準35kg/10aの2割程度の減肥が可能であり,経費の面から考えても被覆肥料で若干低く抑えることができる。また,貯蔵性が向上することから,生産者の収支としては,プラスになった。
しかし,スダチの生産現場では,他のカンキツ類のほ場と同様に,施用した肥料と土壌との混和は行われていない。このため,夏期の異常な乾燥により,肥料成分の溶出が低く抑えられたり,安定しないことが懸念される。また,急斜面に施用した場合には,粒状の被覆肥料が地表面を滑落することも考えられる。
これらのことから,被覆肥料を活用した新資材は,夏期の灌水が可能な園地での導入,または,施用後土壌との混和を実施することが望ましい。
神奈川県農業技術センター
花き観賞樹担当
主任研究員 栁下 良美
コンパクトな草姿のヒマワリは,切り花としての人気が高く,アレンジ・ブーケ向けなどとしての需要がある。このことは,無花粉性品種のバラエティが多くなってきたことがひとつの要因と考えられる。しかし,ヒマワリは吸肥力が強く,施肥量・かん水量に敏感で,切り花のボリューム調節が難しい。そこで,ボリューム調節をしやすいポットによる根域制限栽培で肥効調節型肥料をあらかじめ用土に混和することで施肥管理を簡素化し,さらに夏場の暑い時期のかん水作業の省力化のため一定時間,水を溜め,排水する簡易なプールかん水を組み合わせた切り花栽培について検討した。
かん水をタイマーにより1~2回/日程度,自動で水を湛水・排水させる方法で行うため,湛水・排水による肥料分の流亡の影響について検討した。
’サンリッチマンゴー50’を供試し,表1に示すようにポット全体またはポット上部のみと施肥位置を変えて試験を行った。赤土:腐葉土:ピートモスを7:2:1(容積比)で混合し,1L当たり,重焼リン2g,苦土石灰2gを混和したものを基本用土とし,被覆燐硝安加里(エコロング424-70)を1L当たり2gまたは4g混和した。3号ポリポットを用いて容積のおよそ1/2を上部・下部として表1の割合で用土を充填した。

2006年5月29日に播種し,発芽が揃ったところで簡易のプールベンチに移動した。かん水の水は循環使用し,概ね1週間に1度全量を交換した。
調査は,開花時に株元から収穫し,収穫日,切り花長,切り花重,花序および、筒状花部分の大きさおよび花茎径を測定した。
いずれの区でも到花日数は65日程度となり,施肥量および施肥位置の違いによる差は認められなかった。施肥量が多くなるにつれて,切り花のボリュームは大きくなり,切り花重,花径および花茎径への影響が大きく,切り花長への施肥量の影響は小さかった。総施肥量が概ね同程度と考えられる全層2g/L区および上層4g/L区では,切り花長,切り花重および花茎径は全層2g/L区が大きくなった(表2)。

無加温の根域制限栽培で出荷可能な期間を検討するため,5月下旬から10月下旬まで概ね2週間ごとに播種を行い,播種時期ごとの収穫期間および切り花品質について調査した。
’サンリッチマンゴー50’を供試し,2007年5月23日から10月24日まで概ね2週間ごとに播種を行った。(1)と同様の基本用土を用いて,用土1Lあたり,被覆燐硝安加里(エコロング424-70)を2g混和した。3号ポットに用土を充填し,かん水は,1~2回/日の割合でタイマーにより給水・排水させた。
調査方法は,(1)に準じた。
到花日数は,5月下旬から7月初旬播種では65日程度,7月中旬から9月下旬播種では55 日程度,10月中旬播種では60日程度,下旬播種では75日程度となった(図1)。

概ね9割が収穫となる期間は,いずれの播種日でも1週間程度であり,2週間毎の播種日設定で収穫が重複することはなかった(図2)。

8月初旬播種までは,切り花長は100cm以上,切り花重は30g以上,花径は8cm前後および花茎径は3.5mm程度であったが,ばらつきは大きかった。8月中旬から9月中旬播種では切り花長は70~80cm程度,切り花重は25g程度,花径は7.5cm前後および花茎径は3.6mm程度となり,8月初旬までの播種に比べ,切り花のボリュームは小さくなる傾向にあった。9月下旬以降の播種では,切り花長,切り花重,花径ともに急激に小さくなり,切り花のボリュームは低下したが,花茎径は4mm以上となった(表3)。

3号ポット栽培での切り花品質を把握するため,異なる開花日数タイプの無花粉性切り花品種の特性を調査した。
’サンリッチレモン45’,’サンリッチレモン’,‘サンリッチオレンジ’,‘サンリッチオレンジ50’,’チョコフレンド’および’サンリッチマンゴー50’の6品種を供試した。(1)と同様の基本用土を用い,被覆燐硝安加里(エコロング424-70)2gを混和した。2007年8月3日に播種し,かん水は1回/日,タイマーで行った。調査方法は(1)に準じた。
8月3日播種では,平均到花日数は’サンリッチレモン45’は40日,‘サンリッチレモン’は61日,’サンリッチオレンジ’は58日,’サンリッチオレンジ50’は57日,’サンリッチマンゴー50’は56日,’チョコフレンド’は39日となった。’サンリッチレモン45’および’チョコフレンド’の収穫は9月10日頃となり,他の品種は10月1日頃となった。到花日数のばらつきは少なく,いずれの品種も収穫期間は5日程度となった。’サンリッチレモン45’および’チョコフレンド’の切り花長は,それぞれ66cm,72cm程度,切り花重は27g,19gとなり他の品種に比較し,切り花のボリュームが小さかった。花径は,’チョコフレンド’が7cm程度,’サンリッチレモン45’,’サンリッチレモン’および’サンリッチマンゴー50’が8cm程度,’サンリッチオレンジ’および’サンリッチオレンジ50’が9cm程度となった。花茎径は,’チョコフレンド’が3.2mmとやや細く,’サンリッチレモン’および’サンリッチオレンジ50’が3.8mmおよび3.7mmとやや太かったが,いずれも品種も3~4mm程度となり,茎が細くしまった切り花となった(表4)。

目的とするボリュームの切り花を効率よく栽培するため,播種時期とポットの大きさの切り花品質への影響について検討した。
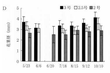
‘サンリッチマンゴー50’を供試し,2007年5月23日から10 月10日まで概ね1カ月毎に播種した。ポットは3号(用土量約300mL),2.5号(約200mL),2号(約100mL)とし,24ポット/トレーとした。(1)と同様の基本用土を用い,被覆燐硝安加里(エコロング424-70)2g/Lを混和した。かん水は1回/日タイマーで行った。調査方法は,(1)に準じた。
到花日数はいずれのサイズでも8月中旬~9月中旬播種で55日程度と短く,5月下旬~7月中旬および10月中旬播種では65日程度となり,サイズが小さくなるにつれて,到花日数がやや増加する傾向が見られた(図3)。

切り花長は,9月中旬播種までの3号,2.5号および8月中旬播種までの2号では60cm以上となったが,3号,2.5号での10月中旬播種,2号での9月中旬以降は60cm未満となり商品性は劣った(図4A)。

切り花重は,9月中旬までは3号,2.5号では20g以上となった。2号ではいずれの播種日でも20g未満となり,ボリュームが小さくなった(図4B)。

花径は,いずれも9月中旬播種までは安定し,3号で約8cm,2.5号で約7cmおよび2号で約6cmとなった(図4C)。

花茎径はいずれも安定して,3号で3.6mm程度,2.5号で3.1mm程度,2号で2.8mm程度となったが,10月はいずれも大きくなった(図4D)。

ポット用土に肥効調節型肥料を混和し,簡易のプールかん水を用いることで,ボリュームを抑えたコンパクトな切り花ヒマワリを簡易に栽培することができる。被覆燐硝安加里(エコロング424-70)を用土1Lあたり2g混和し,3号ポットで栽培すると,9月中旬の播種までは,切り花長80cm,切り花重20g以上の草姿の切り花を収穫できる。施肥量を多くすると切り花長,花径にはあまり影響は無いが,切り花重が重くなる。
無加温栽培では,9月中旬までに1週間程度の間隔で播種すれば,商品性のある切り花が連続的に収穫できる。品種の早晩によって切り花の品質は異なり,到花日数が短い早生品種は,切り花のボリュームが小さくなるため,施肥量を多めにすることが必要である。2.5号ポットでは3号ポットと比べて,切り花長・花径は90%程度,切り花重70%程度となり,2号ポットでは切り花長・花径は70%程度,切り花重は50%程度の切り花となる。
福島県農業総合センタ一 生産環境部
環境・作物栄養科
科長 三浦 吉則
福島県では2002年に「福島県猪苗代湖及び裏磐梯湖沼群の水環境の保全に関する条例」を制定し,水環境の悪化を未然に防止する取り組みを実施している。農業分野では具体的な水環境保全技術の確立のため,現地実証ほを設置し水田からの水環境負荷物質の流出軽減技術の試験を実施した。
試験内容としては2つを紹介する。1つは稲わらの流出軽減技術であり,もう1つは肥料養分の流出軽減技術についてである。まず,秋鋤込みによる稲わら等有機物の流出軽減技術である。猪苗代湖を主とする湖水環境の悪化を示すものとして,湖水pHの上昇とともに湖面に浮遊する黒色浮遊物が挙げられている。湖底に堆積していた有機物が湖水pHの上昇にともなって微生物活性が高まり分解が進んだ結果と推察されているが,有機物の由来は明確には特定されていない。ただ,春期には湖岸に多くの葦わらや稲わらが散見されることから,湖への稲わらの流入を抑えることは重要である。もう1つの試験としては,水田からの肥料養分の流出を軽減する技術として,側条施肥や肥効調節型肥料による箱施肥などの施肥法の軽減効果について検討を行った。
本稿では,これら試験の成果の一部を紹介する。
2003年に稲わらが刈り捨てされたほ場で,秋耕を行ったほ場(3ほ場)と行わないほ場(1ほ場)を設定し,2004年の田植え前に浮遊した稲わらを回収し効果の確認を実施した。
秋耕の有無が稲わらの浮遊量に及ぼす影響を乾物量で示したのが図1である。春耕のみに比較し秋耕を行うことで稲わらの浮遊量は約半量に減少した。稲わらの浮遊量が少ないことは,田植え前の落水時の稲わらの流出を減らすことにつながる可能性が大きいことから,秋耕は有効な稲わらの流出軽減技術であると考えられた。

図2は上記の秋耕の試験ほ場を含む基幹排水路の下流での稲わらの流下量を2003年と2004年について示したものである。稲わらの流下量は排水路に設置した金網製のトラップ装置で回収した稲わらを乾燥して測定した量である。2003年には特に5月17,18日に稲わらの流下量が多かったが,2004年には少なくなっているのがわかる。これは,地域の農業者に参集してもらい夜の座談会を開催したり,実証ほでの実際の取り組みを見てもらいながら,秋耕や浅水代かきなどの技術の普及が進んだ結果であると解析している。

試験区としては,普通化成肥料を用い全層施肥を行った全層施肥区を対照として,ペースト肥料(二段施肥)や普通化成肥料による側条施肥を行った側条施肥区,苗箱まかせによる苗箱施肥区により実施した。苗箱施肥区は全量基肥施肥で行い,他区では追肥を実施した。窒素の全施用量は側条施肥区では全層施肥区の7~15%減,苗箱施肥区では全層施肥区の28%減で行った。水稲品種は「あきたこまち」を栽培した。調査期間は前回に紹介した基幹排水路の水質モニタリング調査の結果から,水田からの水環境負荷物質の流出が多いと判断された,代かきから田植え前の落水までの調査とした。試験は基幹排水路に隣接された現地水田ほ場で2002~2004年の3カ年実施した。ここでは2004年の結果の一部を紹介する。
図3には入水して代かき後,移植のための落水を開始するまでの田面水中の全窒素濃度の推移を示した。これをみると,全層施肥区に比べ側条施肥区や苗箱施肥区の全窒素濃度が低く推移しているのがわかる。これは,全層施肥区では代かき時にはすでに本田施肥が行われているのに対し,側条,苗箱施肥区では水稲移植時に本田へ施肥されるので,この時点では施肥が行われていないことから田面水中の全窒素濃度が低かったものと考えられる。また,全窒素濃度が時間経過とともに低下する傾向から,代かき直後に落水するよりも湛水期間を3日間以上確保することで,さらに流出軽減につながる可能性が見い出された。

次に,図4は図3の湛水を終えて,水稲移植を控え湛水深の調整のため落水した水中の全窒素濃度の推移を示した。まず,落水初期には全窒素濃度は落水開始時の田面水中の濃度の影響が大きいことがわかる。したがって,まずは落水時までに田面水中の全窒素濃度を低下させておくことが重要である。それから,落水開始後150分あたりから側条施肥区や苗箱施肥区で濃度の高まりがみられるようになった。これは湛水深が浅くなり土壌粒子の軽い巻き上げが起こり懸濁物質による全窒素の高まりにつながったと考えられた。

落水初期では全窒素濃度が低くかった側条,苗箱施肥区であったが,代かき時に施肥していないことから土壌粒子の沈降を抑え土壌のにごりを誘発しやすいことを考慮して特に落水後半の落水速度の調節が重要である。ここで数値としては示していないが,水田からの全窒素排出量は,全層施肥区に比較し側条,苗箱施肥区で少なく,明らかに窒素について側条,苗箱施肥による水環境への負荷軽減効果が認められた。
田面水のにごりの問題について付記したい。図5は落水中の懸濁物質濃度の推移を示した。落水初期から側条施肥区と苗箱施肥区は全層施肥区に比べ高く,落水開始後150分あたりから側条施肥区や苗箱施肥区でさらに濃度の高まりがみられた。この要因は上述したように代かき時に施肥を行っていないことに依る。調査の結果,にごりを誘発しやすい側条施肥区と苗箱施肥区では,全層施肥区に比べ懸濁物質と全リン酸については流出量が多くなった。

この問題を解決するために,硫酸カルシウムの施用を組み合わせた試験を実施し,懸濁物質や全リン酸においても流出軽減の効果を得た。ただ,普及にあたって経費や労力等の点を考慮すると,硫酸カルシウムの施用は土壌粒子の懸濁が起こりやすい土壌の地域に限定し,通常は上記の施肥法とともに浅水代かきの励行を呼びかけることとしている。
現地ほ場での施肥法の試験結果を受けて,農家への普及の可能性を評価するために経営試算したものが表1である。2003年,2004年の2カ年のデータから慣行技術(全層施肥区の結果)を基に側条や苗箱施肥区の結果の増減値で示した。労働時間や費用(主に肥料代),水稲収量から最終的な評価として経済効果を算出している。これによると,慣行技術に比べ経済効果がプラスであったのは苗箱施肥であった。これは田面への施肥の手間がなく,減肥したにもかかわらず増収したためである。一方,側条施肥は肥料を側条田植機に補給する手間や肥料代も比較的高く,かつ安定した収量が確保できなかったことにより,慣行技術に比べ経済効果としてマイナスの結果となった。

水環境の負荷軽減技術の確立のために,まず実態把握を並行的に実施した。水は移動しやすい性質から採水を頻繁に行い,さらに負荷量を算出するための流量の測定を年間を通して行った。その労力はたいへんなものであったが,現地で測定された負荷量の実測値や流出軽減を効果的に行うための要因を導き出す貴重なデータが得られた。
基幹排水路での水質のモニタリング調査から,水田の春作業時期に水環境への負荷物質の流出が大きいことが明らかとなり,軽減のための施肥法として側条施肥と苗箱施肥について検討が行われた。その結果,両施肥法には窒素について明らかな水環境への負荷軽減効果が認められた。これらの施肥法は施肥効率を上げ施肥量を抑えた環境保全型農業技術であり,環境領域として水環境への負荷軽減効果も有することが確認された。
今後,これら2つの施肥法は秋耕や浅水代かきなどの基本技術の上に,さらに負荷軽減が期待できる技術である。農業現場への導入に向けて,側条施肥については無追肥で安定した収量を得る施肥法の検討や田植え時の肥料供給の効率化を図る必要があり,苗箱施肥については実証した地域においてこれまで技術普及が遅れているため,多くのメリットを現場に提示し積極的に普及を進めていく必要があると考えている。
●福島県農林水産部.2004
水環境にやさしい水田の管理技術.普及に移しうる成果
●中山秀貴・横井直人.2006
移植前落水時の水質負荷物質流出量の低減をねらいとした側条施肥の効果.東北農業研究.59.37-38